🇳🇴 🇬🇧 🇩🇪 🇨🇿 🇫🇮

Meteor, poloha: Eidsvoll 2025-12-29 00:08:57 UTC

Soubor KML  |  Interaktivní mapa

Mapa zobrazuje dráhy meteoru. Světlejší čáry ukazují směry od pozorovacích stanic při objevení se meteoru a tmavší čáry, kde byl naposledy viděn. Modrá šipka značí viditelnou dráhu meteoru.

static map
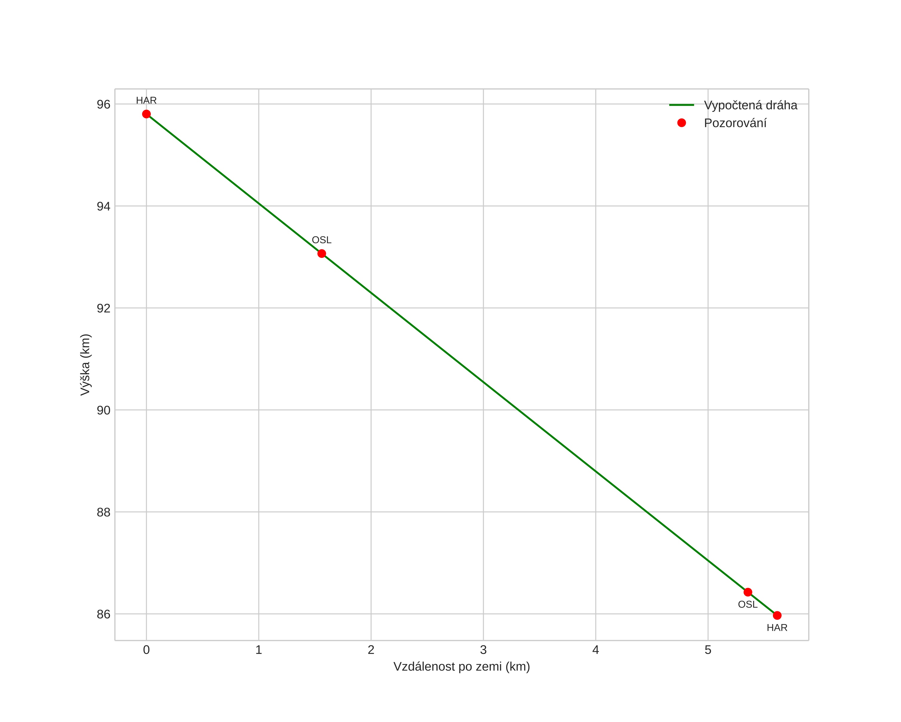
height profile
Atmosférická dráha meteoru:
Počáteční výška: 95,8 km
Konečná výška: 86,0 km
Počáteční poloha: 60,336N 11,142E
Konečná poloha: 60,383N 11,177E
Směr: 20,4°
Sklon: 60,2°
position vs time
speed and acceleration