🇳🇴 🇬🇧 🇩🇪 🇨🇿 🇫🇮

Meteor Gnarpin yllä 2025-12-29 03:14:38 UTC

KML-tiedosto  |  Interaktiivinen kartta

Kartta näyttää meteorin suuntahavainnot. Vaaleammat viivat näyttävät suunnat havaintoasemilta meteorin ilmestyessä, ja tummemmat viivat näyttävät, missä se viimeksi nähtiin. Sininen nuoli näyttää meteorin näkyvän lennon.

static map
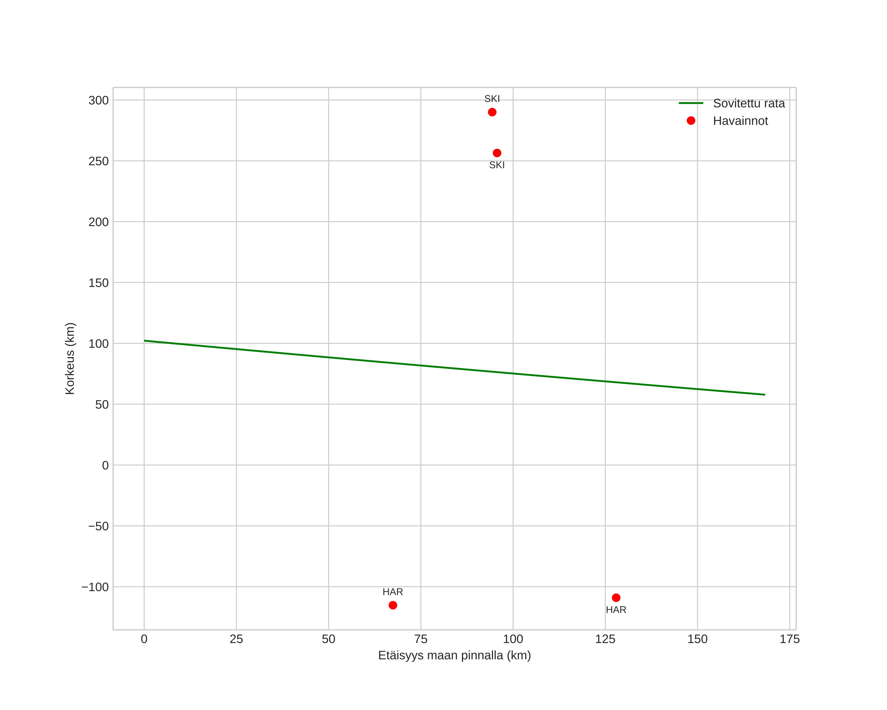
height profile
wind profile
Meteorin ilmakehärata:
Alkukorkeus: 102,2 km
Loppukorkeus: 57,8 km
Alkupiste: 62,070N 14,626E
Loppupiste: 61,731N 17,759E
Suunta: 101,6°
Kallistuskulma: 14,8°
Tulonopeus: 55,5 km/s
Radiantin R,A,: 04:28 (67,1°)
Radiantin Dekl,: 17,5°
Meteoriparvi: Sporadinen
Meteoroidin rataelementit:
Perihelietäisyys: 0,711 AU
Eksentrisyys: 3,970
Inklinaatio: 4,1°
Nousevan solmun pituus: 97,3°
Perihelin argumentti: 49,2°
Keskianomalia: -141,9°
Epookki: 2025 DEC 29 03:14:38
orbit plot

Ei-interaktiivinen kuvaaja | Interaktiivinen kuvaaja

position vs time
speed and acceleration

Harestua (HAR) cam4


gnomonic
Videot:
• Gnomoninen
• Gnomoninen koordinaateilla
• Alkuperäinen
• Alkuperäinen koordinaateilla
Kuvat:
• Gnomoninen
• Gnomoninen koordinaateilla
• Alkuperäinen
• Alkuperäinen koordinaateilla
Tekstitiedostot:
• Havaintoraportti
• Observaatio
• Koordinaatit
• Loki
Kirkkaus

Skibotn (SKI) cam4


gnomonic
Videot:
• Gnomoninen
• Gnomoninen koordinaateilla
• Alkuperäinen
• Alkuperäinen koordinaateilla
Kuvat:
• Gnomoninen
• Gnomoninen koordinaateilla
• Alkuperäinen
• Alkuperäinen koordinaateilla
Tekstitiedostot:
• Havaintoraportti
• Observaatio
• Koordinaatit
• Loki
Kirkkaus