🇳🇴 🇬🇧 🇩🇪 🇨🇿 🇫🇮

Meteor Ringebun yllä 2025-12-30 05:36:58 UTC

KML-tiedosto  |  Interaktiivinen kartta

Kartta näyttää meteorin suuntahavainnot. Vaaleammat viivat näyttävät suunnat havaintoasemilta meteorin ilmestyessä, ja tummemmat viivat näyttävät, missä se viimeksi nähtiin. Sininen nuoli näyttää meteorin näkyvän lennon.

static map
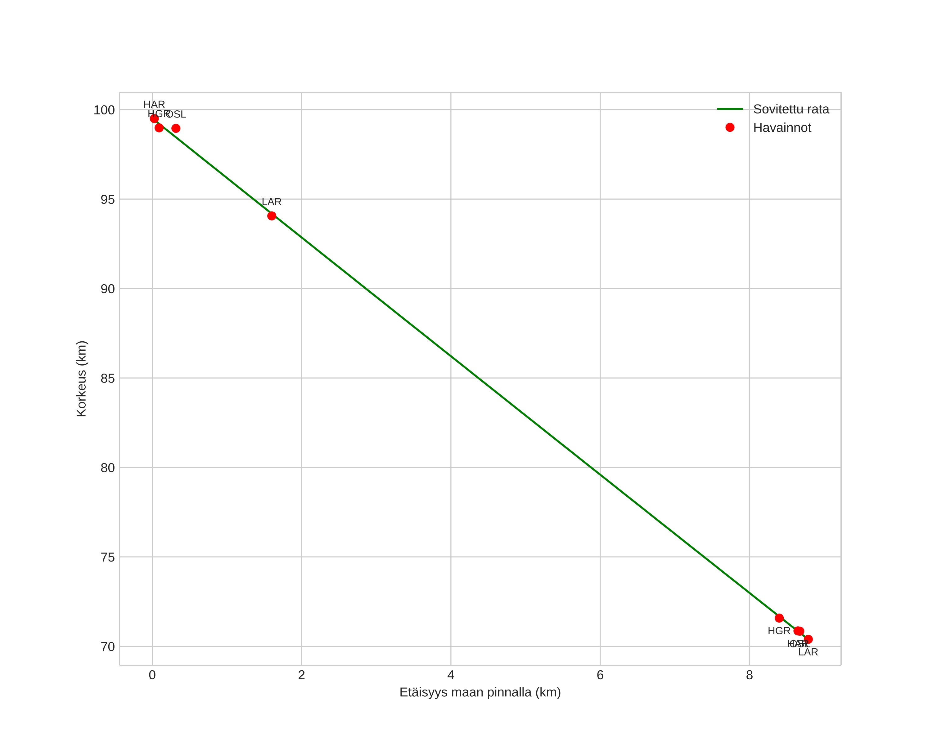
height profile
Meteorin ilmakehärata:
Alkukorkeus: 99,5 km
Loppukorkeus: 70,4 km
Alkupiste: 61,648N 10,668E
Loppupiste: 61,680N 10,515E
Suunta: 294,2°
Kallistuskulma: 73,2°
Tulonopeus: 43,4 km/s
Radiantin R,A,: 14:34 (218,6°)
Radiantin Dekl,: 51,7°
Meteoriparvi: Kvadrantidit
Meteoroidin rataelementit:
Perihelietäisyys: 0,982 AU
Eksentrisyys: 0,599
Inklinaatio: 74,8°
Nousevan solmun pituus: 278,4°
Perihelin argumentti: 185,1°
Keskianomalia: 359,0°
Epookki: 2025 DEC 30 05:36:58
orbit plot

Ei-interaktiivinen kuvaaja | Interaktiivinen kuvaaja

position vs time
speed and acceleration