🇳🇴 🇬🇧 🇩🇪 🇨🇿 🇫🇮

Meteor over Gvarv 2025-12-31 02:25:29 UTC

KML-fil  |  Interaktivt kart

Kartet viser peilingene for meteoren. De lysere linjene viser retningene fra observasjonsstedene for meteorens tilsynekomst, og de mørkere linjene viser hvor den sist kunne sees. Den blå pila viser meteorens synlige ferd.

static map
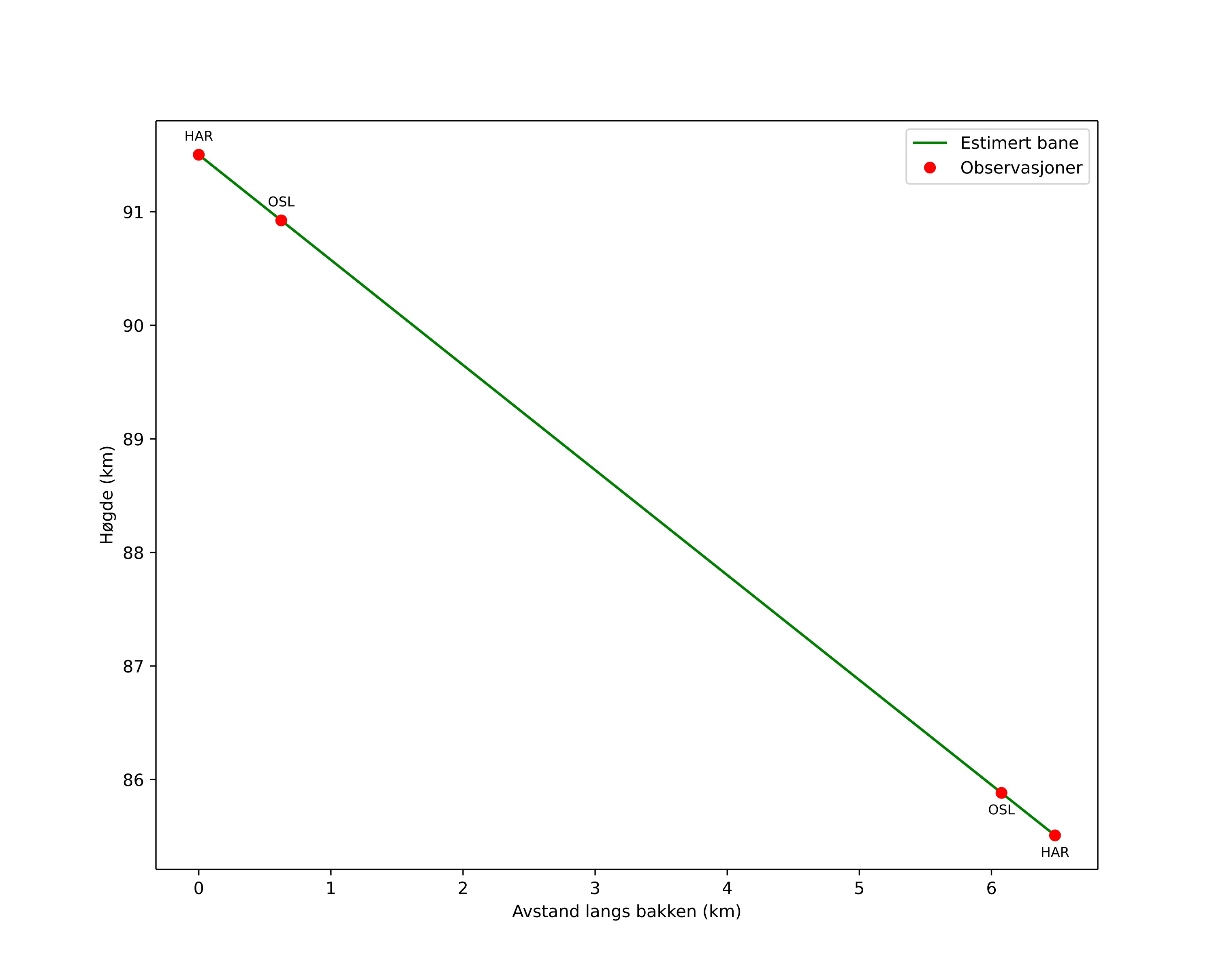
height profile
Meteorens atmosfæriske bane:
Starthøgde: 91,5 km
Slutthøgde: 85,5 km
Startposisjon: 59,393N 9,211E
Sluttposisjon: 59,361N 9,115E
Retning: 237,5°
Fallvinkel: 42,8°
Inngangshastighet: 48,1 km/s
Radiantens rektascensjon: 15:40 (235,1°)
Radiantens deklinasjon: 51,5°
Meteorsverm: Kvadrantidene
Meteoroidens baneelement:
Perihelavstand: 0,975 AU
Eksentrisitet: 1,242
Inklinasjon: 73,5°
Knutelengde: 279,3°
Perihelargument: 169,7°
Midlere anomali: 0,8°
Epoke: 2025 DEC 31 02:25:29
orbit plot

Ikke-interaktivt plott | Interaktivt plott

position vs time
speed and acceleration

Harestua (HAR) cam4


gnomonic
Videoer
• Gnomonisk
• Gnomonisk med koordinater
• Original
• Original med koordinater
Bilder
• Gnomonisk
• Gnomonisk med koordinater
• Original
• Original med koordinater
Tekstfiler
• Deteksjon
• Observasjon
• Koordinater
• Logg
Lysstyrke

Voksenlia (OSL) cam7


gnomonic
Videoer
• Gnomonisk
• Gnomonisk med koordinater
• Original
• Original med koordinater
Bilder
• Gnomonisk
• Gnomonisk med koordinater
• Original
• Original med koordinater
Tekstfiler
• Deteksjon
• Observasjon
• Koordinater
• Logg
Lysstyrke