🇳🇴 🇬🇧 🇩🇪 🇨🇿 🇫🇮

Meteor over Flateby 2025-12-31 03:00:29 UTC

KML-fil  |  Interaktivt kart

Kartet viser peilingene for meteoren. De lysere linjene viser retningene fra observasjonsstedene for meteorens tilsynekomst, og de mørkere linjene viser hvor den sist kunne sees. Den blå pila viser meteorens synlige ferd.

static map
height profile
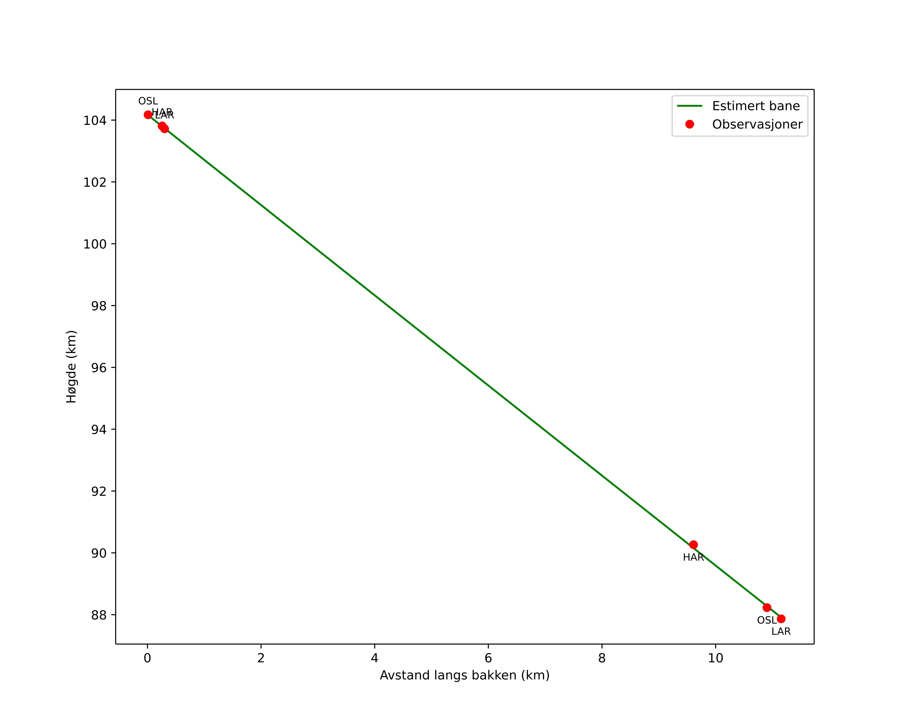
Meteorens atmosfæriske bane:
Starthøgde: 104,2 km
Slutthøgde: 87,9 km
Startposisjon: 59,856N 11,441E
Sluttposisjon: 59,841N 11,243E
Retning: 262,0°
Fallvinkel: 55,6°
Inngangshastighet: 46,5 km/s
Radiantens rektascensjon: 14:18 (214,5°)
Radiantens deklinasjon: 48,7°
Meteorsverm: Kvadrantidene
Meteoroidens baneelement:
Perihelavstand: 0,980 AU
Eksentrisitet: 0,624
Inklinasjon: 81,3°
Knutelengde: 279,3°
Perihelargument: 188,0°
Midlere anomali: 358,6°
Epoke: 2025 DEC 31 03:00:29
orbit plot

Ikke-interaktivt plott | Interaktivt plott

position vs time
speed and acceleration

Harestua (HAR) cam7


gnomonic
Videoer
• Gnomonisk
• Gnomonisk med koordinater
• Original
• Original med koordinater
Bilder
• Gnomonisk
• Gnomonisk med koordinater
• Original
• Original med koordinater
Tekstfiler
• Deteksjon
• Observasjon
• Koordinater
• Logg
Lysstyrke

Larvik (LAR) cam2


gnomonic
Videoer
• Gnomonisk
• Gnomonisk med koordinater
• Original
• Original med koordinater
Bilder
• Gnomonisk
• Gnomonisk med koordinater
• Original
• Original med koordinater
Tekstfiler
• Deteksjon
• Observasjon
• Koordinater
• Logg
Lysstyrke

Voksenlia (OSL) cam6


gnomonic
Videoer
• Gnomonisk
• Gnomonisk med koordinater
• Original
• Original med koordinater
Bilder
• Gnomonisk
• Gnomonisk med koordinater
• Original
• Original med koordinater
Tekstfiler
• Deteksjon
• Observasjon
• Koordinater
• Logg
Lysstyrke