🇳🇴 🇬🇧 🇩🇪 🇨🇿 🇫🇮

Meteor, poloha: Grebbestad 2025-12-31 03:16:38 UTC

Soubor KML  |  InteraktivnĂ­ mapa

Mapa zobrazuje dráhy meteoru. Světlejší čáry ukazují směry od pozorovacích stanic při objevení se meteoru a tmavší čáry, kde byl naposledy viděn. Modrá šipka značí viditelnou dráhu meteoru.

static map
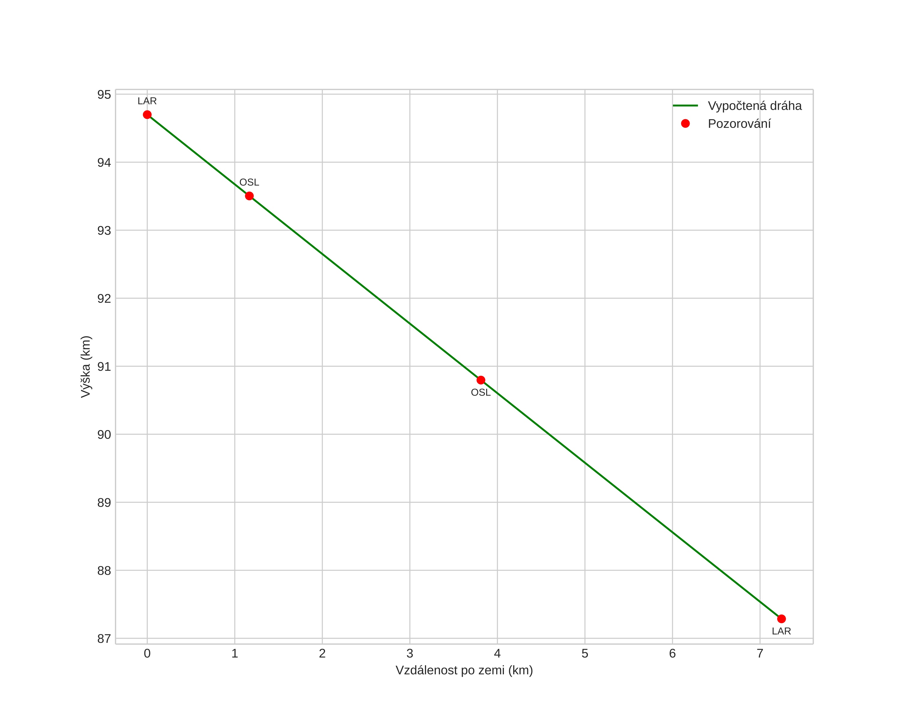
height profile
Atmosférická dráha meteoru:
Počáteční výška: 94,7 km
Konečná výška: 87,3 km
Počáteční poloha: 58,813N 11,274E
Konečná poloha: 58,759N 11,204E
Směr: 214,1°
Sklon: 45,6°
VstupnĂ­ rychlost: 27,2 km/s
Rektascenze radiantu: 18:06 (271,6°)
Deklinace radiantu: 64,6°
MeteorickĂ˝ roj: sporadickĂ˝
Elementy dráhy meteoroidu:
Vzdálenost v periheliu: 0,983 AU
Excentricita: 0,701
Sklon dráhy: 39,0°
Délka vzestupného uzlu: 279,3°
Argument perihelia: 177,0°
Střední anomálie: 0,4°
Epocha: 2025 DEC 31 03:16:38
orbit plot

NeinteraktivnĂ­ graf | InteraktivnĂ­ graf

position vs time
speed and acceleration

Larvik (LAR) cam7


gnomonic
Videa
• Gnomonická
• Gnomonická se souřadnicemi
• Původní
• Původní se souřadnicemi
Obrázky
• Gnomonická
• Gnomonická se souřadnicemi
• Původní
• Původní se souřadnicemi
Textové soubory
• Detekce
• Pozorování
• Souřadnice
• Protokol
Jasnost

Voksenlia (OSL) cam4


gnomonic
Videa
• Gnomonická
• Gnomonická se souřadnicemi
• Původní
• Původní se souřadnicemi
Obrázky
• Gnomonická
• Gnomonická se souřadnicemi
• Původní
• Původní se souřadnicemi
Textové soubory
• Detekce
• Pozorování
• Souřadnice
• Protokol
Jasnost