🇳🇴 🇬🇧 🇩🇪 🇨🇿 🇫🇮

Meteor Skudeneshavnin yllä 2025-12-31 05:03:06 UTC

KML-tiedosto  |  Interaktiivinen kartta

Kartta näyttää meteorin suuntahavainnot. Vaaleammat viivat näyttävät suunnat havaintoasemilta meteorin ilmestyessä, ja tummemmat viivat näyttävät, missä se viimeksi nähtiin. Sininen nuoli näyttää meteorin näkyvän lennon.

static map
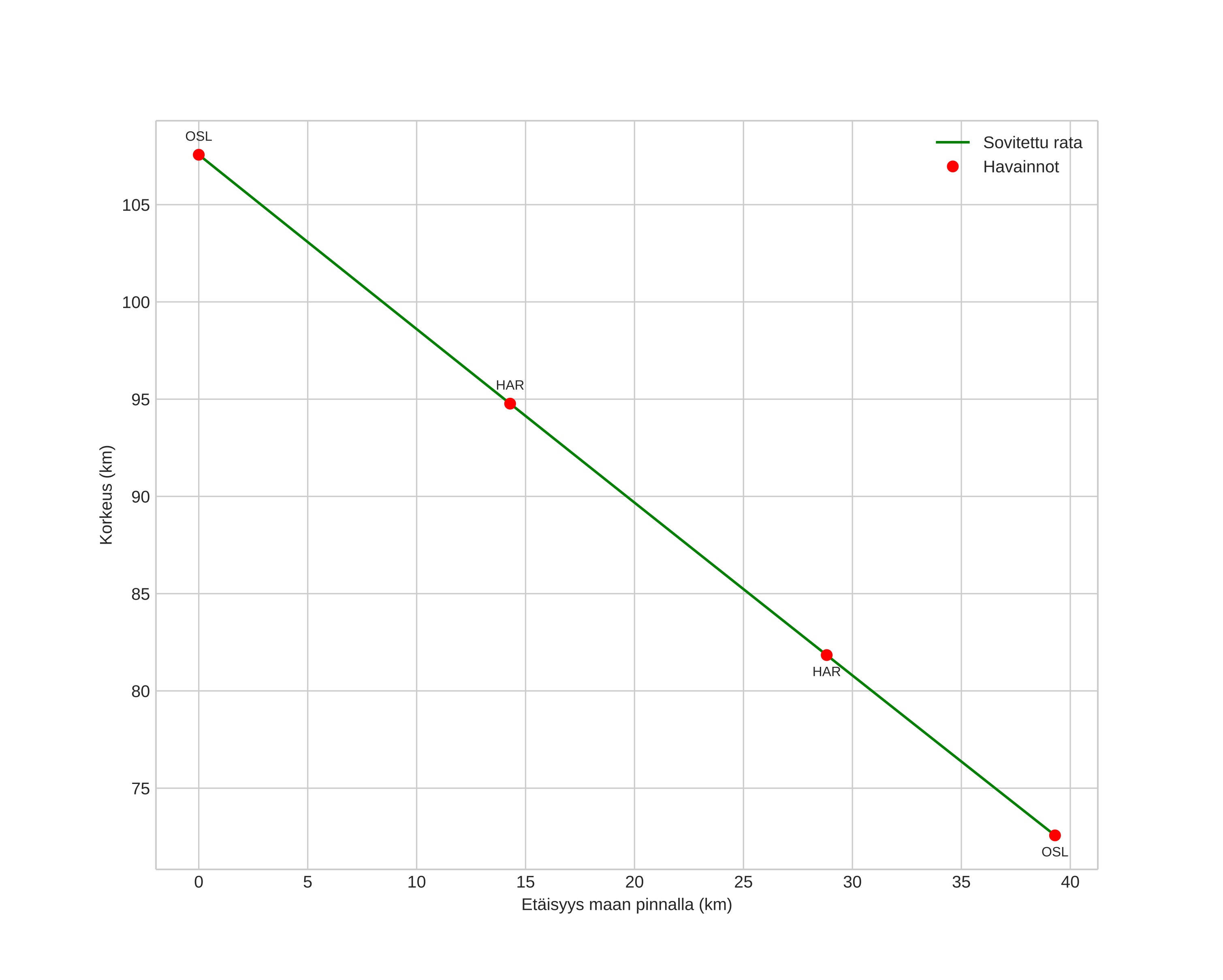
height profile
Meteorin ilmakehärata:
Alkukorkeus: 107,6 km
Loppukorkeus: 72,6 km
Alkupiste: 58,759N 5,087E
Loppupiste: 59,099N 5,277E
Suunta: 16,1°
Kallistuskulma: 41,7°
Tulonopeus: 84,5 km/s
Radiantin R,A,: 11:11 (168,0°)
Radiantin Dekl,: 11,2°
Meteoriparvi: Sporadinen
Meteoroidin rataelementit:
Perihelietäisyys: 0,714 AU
Eksentrisyys: 2,254
Inklinaatio: 169,9°
Nousevan solmun pituus: 279,4°
Perihelin argumentti: 232,8°
Keskianomalia: -51,5°
Epookki: 2025 DEC 31 05:03:06
orbit plot

Ei-interaktiivinen kuvaaja | Interaktiivinen kuvaaja

position vs time
speed and acceleration

Harestua (HAR) cam4


gnomonic
Videot:
• Gnomoninen
• Gnomoninen koordinaateilla
• Alkuperäinen
• Alkuperäinen koordinaateilla
Kuvat:
• Gnomoninen
• Gnomoninen koordinaateilla
• Alkuperäinen
• Alkuperäinen koordinaateilla
Tekstitiedostot:
• Havaintoraportti
• Observaatio
• Koordinaatit
• Loki
Kirkkaus

Voksenlia (OSL) cam3


gnomonic
Videot:
• Gnomoninen
• Gnomoninen koordinaateilla
• Alkuperäinen
• Alkuperäinen koordinaateilla
Kuvat:
• Gnomoninen
• Gnomoninen koordinaateilla
• Alkuperäinen
• Alkuperäinen koordinaateilla
Tekstitiedostot:
• Havaintoraportti
• Observaatio
• Koordinaatit
• Loki
Kirkkaus