🇳🇴 🇬🇧 🇩🇪 🇨🇿 🇫🇮

Meteor over Oldendorf 2026-01-03 19:25:07 UTC

KML-fil  |  Interaktivt kart

Kartet viser peilingene for meteoren. De lysere linjene viser retningene fra observasjonsstedene for meteorens tilsynekomst, og de mørkere linjene viser hvor den sist kunne sees. Den blå pila viser meteorens synlige ferd.

static map
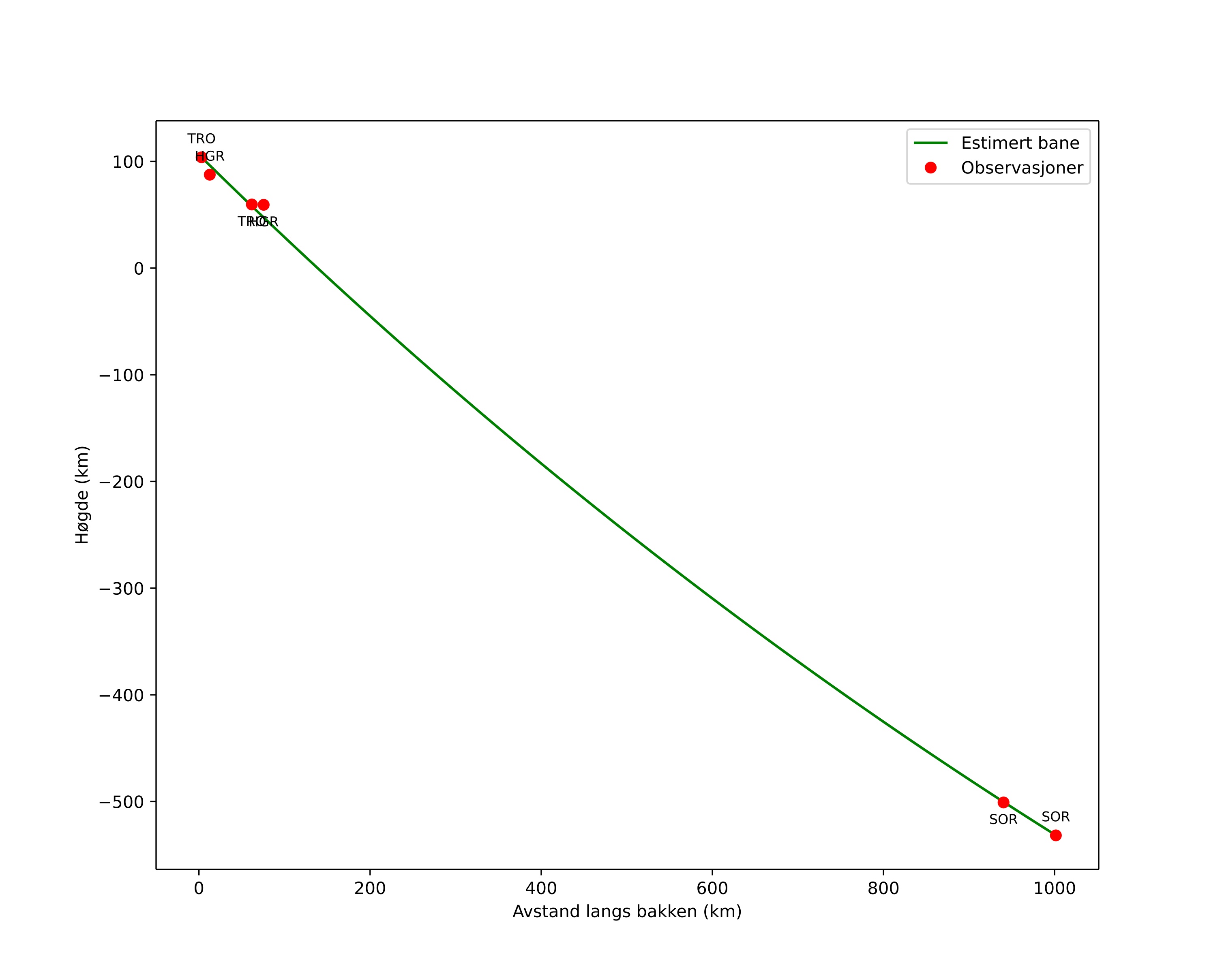
height profile
Meteorens atmosfæriske bane:
Starthøgde: 106,2 km
Slutthøgde: -531,6 km
Startposisjon: 62,004N 13,474E
Sluttposisjon: 53,165N 10,230E
Retning: 192,5°
Fallvinkel: 32,5°
Inngangshastighet: 39,7 km/s
Radiantens rektascensjon: 13:51 (207,8°)
Radiantens deklinasjon: 58,4°
Meteorsverm: sporadisk
Meteoroidens baneelement:
Perihelavstand: 0,916 AU
Eksentrisitet: 0,566
Inklinasjon: 67,1°
Knutelengde: 283,1°
Perihelargument: 215,8°
Midlere anomali: 351,4°
Epoke: 2026 JAN 03 19:25:07
orbit plot

Ikke-interaktivt plott | Interaktivt plott

position vs time
speed and acceleration

Hagar (HGR) cam3


gnomonic
Videoer
• Gnomonisk
• Gnomonisk med koordinater
• Original
• Original med koordinater
Bilder
• Gnomonisk
• Gnomonisk med koordinater
• Original
• Original med koordinater
Tekstfiler
• Deteksjon
• Observasjon
• Koordinater
• Logg
Lysstyrke

Sorreisa (SOR) cam1


gnomonic
Videoer
• Gnomonisk
• Gnomonisk med koordinater
• Original
• Original med koordinater
Bilder
• Gnomonisk
• Gnomonisk med koordinater
• Original
• Original med koordinater
Tekstfiler
• Deteksjon
• Observasjon
• Koordinater
• Logg
Lysstyrke

Trondheim (TRO) cam2


gnomonic
Videoer
• Gnomonisk
• Gnomonisk med koordinater
• Original
• Original med koordinater
Bilder
• Gnomonisk
• Gnomonisk med koordinater
• Original
• Original med koordinater
Tekstfiler
• Deteksjon
• Observasjon
• Koordinater
• Logg
Lysstyrke