🇳🇴 🇬🇧 🇩🇪 🇨🇿 🇫🇮

Meteor Orkangerin yllä 2026-01-03 22:00:07 UTC

KML-tiedosto  |  Interaktiivinen kartta

Kartta näyttää meteorin suuntahavainnot. Vaaleammat viivat näyttävät suunnat havaintoasemilta meteorin ilmestyessä, ja tummemmat viivat näyttävät, missä se viimeksi nähtiin. Sininen nuoli näyttää meteorin näkyvän lennon.

static map
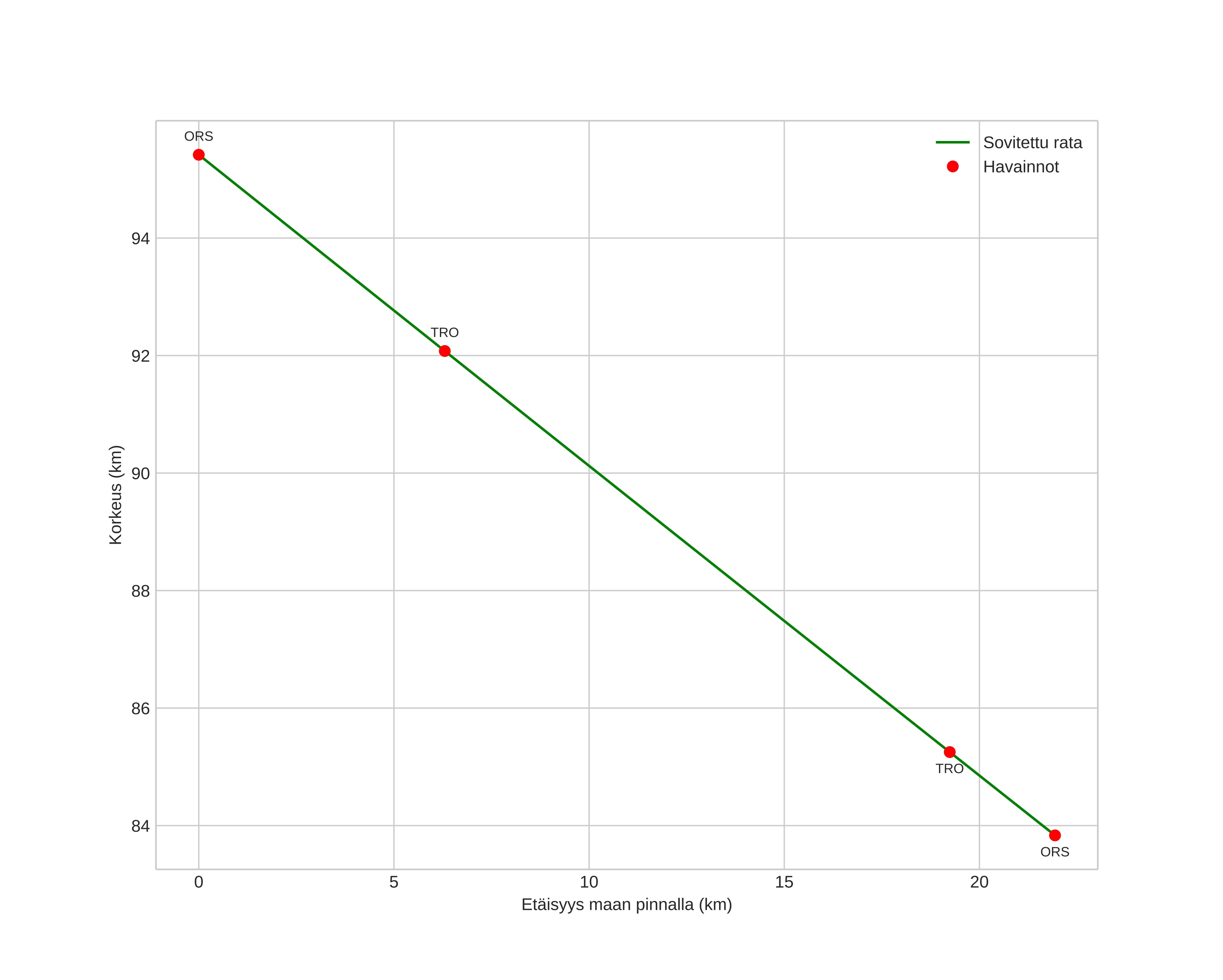
height profile
Meteorin ilmakehärata:
Alkukorkeus: 95,4 km
Loppukorkeus: 83,8 km
Alkupiste: 63,294N 9,824E
Loppupiste: 63,115N 9,641E
Suunta: 204,8°
Kallistuskulma: 27,9°
Tulonopeus: 42,9 km/s
Radiantin R,A,: 15:11 (227,8°)
Radiantin Dekl,: 50,2°
Meteoriparvi: Kvadrantidit
Meteoroidin rataelementit:
Perihelietäisyys: 0,982 AU
Eksentrisyys: 0,671
Inklinaatio: 72,4°
Nousevan solmun pituus: 283,2°
Perihelin argumentti: 175,7°
Keskianomalia: 0,6°
Epookki: 2026 JAN 03 22:00:07
orbit plot

Ei-interaktiivinen kuvaaja | Interaktiivinen kuvaaja

position vs time
speed and acceleration

Orsta (ORS) cam1


gnomonic
Videot:
• Gnomoninen
• Gnomoninen koordinaateilla
• Alkuperäinen
• Alkuperäinen koordinaateilla
Kuvat:
• Gnomoninen
• Gnomoninen koordinaateilla
• Alkuperäinen
• Alkuperäinen koordinaateilla
Tekstitiedostot:
• Havaintoraportti
• Observaatio
• Koordinaatit
• Loki
Kirkkaus

Trondheim (TRO) cam7


gnomonic
Videot:
• Gnomoninen
• Gnomoninen koordinaateilla
• Alkuperäinen
• Alkuperäinen koordinaateilla
Kuvat:
• Gnomoninen
• Gnomoninen koordinaateilla
• Alkuperäinen
• Alkuperäinen koordinaateilla
Tekstitiedostot:
• Havaintoraportti
• Observaatio
• Koordinaatit
• Loki
Kirkkaus