🇳🇴 🇬🇧 🇩🇪 🇨🇿 🇫🇮

Meteor over Sunndalsøra 2026-01-03 22:14:30 UTC

KML-fil  |  Interaktivt kart

Kartet viser peilingene for meteoren. De lysere linjene viser retningene fra observasjonsstedene for meteorens tilsynekomst, og de mørkere linjene viser hvor den sist kunne sees. Den blå pila viser meteorens synlige ferd.

static map
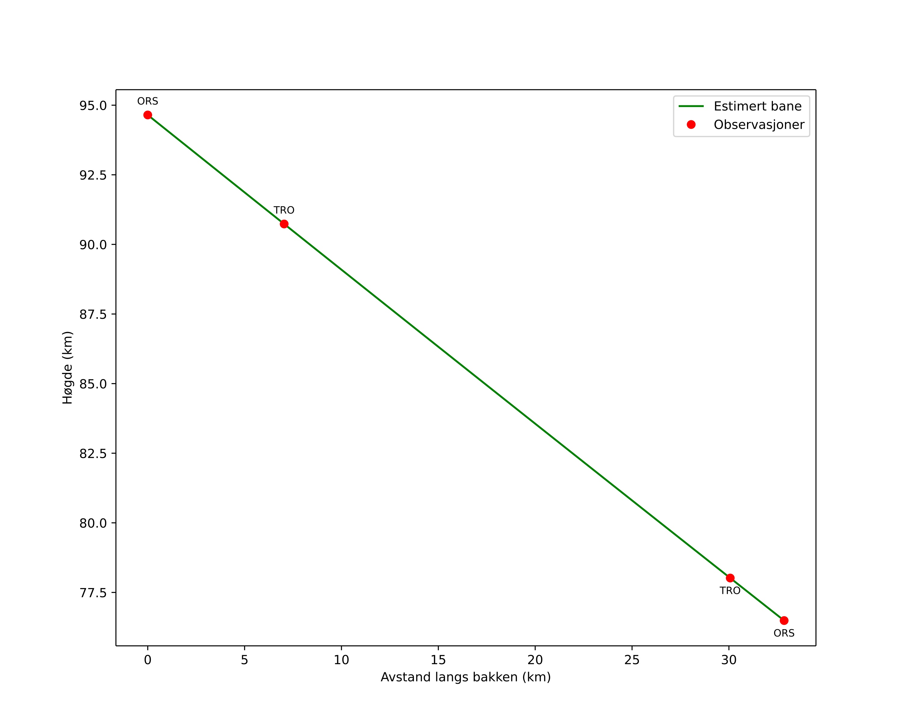
height profile
Meteorens atmosfæriske bane:
Starthøgde: 94,6 km
Slutthøgde: 76,5 km
Startposisjon: 62,857N 8,758E
Sluttposisjon: 62,595N 8,459E
Retning: 207,8°
Fallvinkel: 28,9°
Inngangshastighet: 43,8 km/s
Radiantens rektascensjon: 15:02 (225,5°)
Radiantens deklinasjon: 50,7°
Meteorsverm: Kvadrantidene
Meteoroidens baneelement:
Perihelavstand: 0,983 AU
Eksentrisitet: 0,705
Inklinasjon: 73,8°
Knutelengde: 283,2°
Perihelargument: 179,6°
Midlere anomali: 0,0°
Epoke: 2026 JAN 03 22:14:30
orbit plot

Ikke-interaktivt plott | Interaktivt plott

position vs time
speed and acceleration

Orsta (ORS) cam1


gnomonic
Videoer
• Gnomonisk
• Gnomonisk med koordinater
• Original
• Original med koordinater
Bilder
• Gnomonisk
• Gnomonisk med koordinater
• Original
• Original med koordinater
Tekstfiler
• Deteksjon
• Observasjon
• Koordinater
• Logg
Lysstyrke

Trondheim (TRO) cam3


gnomonic
Videoer
• Gnomonisk
• Gnomonisk med koordinater
• Original
• Original med koordinater
Bilder
• Gnomonisk
• Gnomonisk med koordinater
• Original
• Original med koordinater
Tekstfiler
• Deteksjon
• Observasjon
• Koordinater
• Logg
Lysstyrke