🇳🇴 🇬🇧 🇩🇪 🇨🇿 🇫🇮

Meteor over Rødberg 2026-01-05 23:12:57 UTC

KML-fil  |  Interaktivt kart

Kartet viser peilingene for meteoren. De lysere linjene viser retningene fra observasjonsstedene for meteorens tilsynekomst, og de mørkere linjene viser hvor den sist kunne sees. Den blå pila viser meteorens synlige ferd.

static map
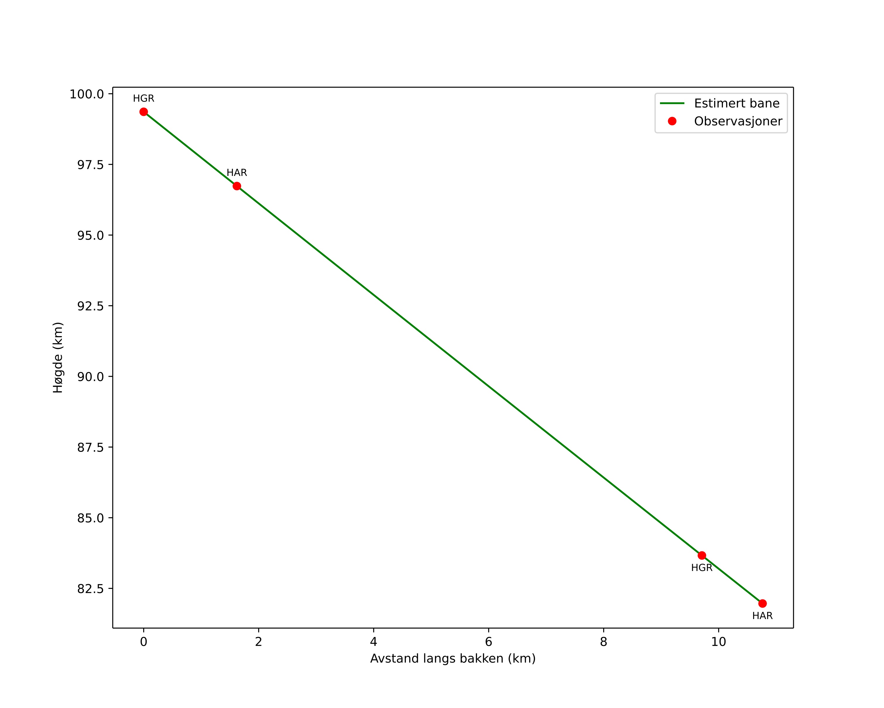
height profile
Meteorens atmosfæriske bane:
Starthøgde: 99,4 km
Slutthøgde: 82,0 km
Startposisjon: 60,455N 8,905E
Sluttposisjon: 60,397N 8,748E
Retning: 233,0°
Fallvinkel: 58,3°
Inngangshastighet: 37,2 km/s
Radiantens rektascensjon: 11:37 (174,3°)
Radiantens deklinasjon: 63,6°
Meteorsverm: sporadisk
Meteoroidens baneelement:
Perihelavstand: 0,736 AU
Eksentrisitet: 0,729
Inklinasjon: 56,4°
Knutelengde: 285,3°
Perihelargument: 246,3°
Midlere anomali: 351,3°
Epoke: 2026 JAN 05 23:12:57
orbit plot

Ikke-interaktivt plott | Interaktivt plott

position vs time
speed and acceleration

Hagar (HGR) cam1


gnomonic
Videoer
• Gnomonisk
• Gnomonisk med koordinater
• Original
• Original med koordinater
Bilder
• Gnomonisk
• Gnomonisk med koordinater
• Original
• Original med koordinater
Tekstfiler
• Deteksjon
• Observasjon
• Koordinater
• Logg
Lysstyrke

Harestua (HAR) cam5


gnomonic
Videoer
• Gnomonisk
• Gnomonisk med koordinater
• Original
• Original med koordinater
Bilder
• Gnomonisk
• Gnomonisk med koordinater
• Original
• Original med koordinater
Tekstfiler
• Deteksjon
• Observasjon
• Koordinater
• Logg
Lysstyrke