🇳🇴 🇬🇧 🇩🇪 🇨🇿 🇫🇮

Meteor over Sande 2026-01-06 23:56:52 UTC

KML-fil  |  Interaktivt kart

Kartet viser peilingene for meteoren. De lysere linjene viser retningene fra observasjonsstedene for meteorens tilsynekomst, og de mørkere linjene viser hvor den sist kunne sees. Den blå pila viser meteorens synlige ferd.

static map
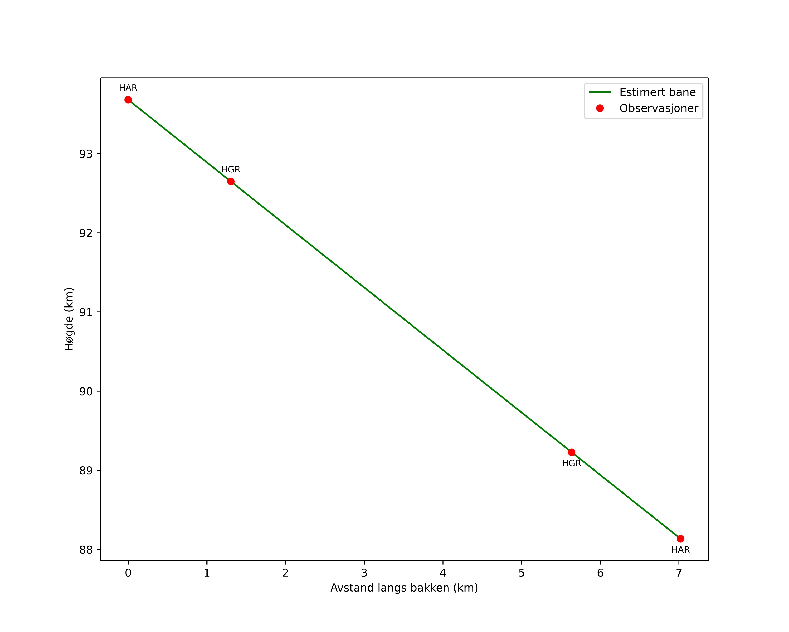
height profile
Meteorens atmosfæriske bane:
Starthøgde: 93,7 km
Slutthøgde: 88,1 km
Startposisjon: 59,676N 10,228E
Sluttposisjon: 59,631N 10,140E
Retning: 224,3°
Fallvinkel: 38,6°
Inngangshastighet: 42,5 km/s
Radiantens rektascensjon: 14:55 (224,0°)
Radiantens deklinasjon: 54,7°
Meteorsverm: Kvadrantidene
Meteoroidens baneelement:
Perihelavstand: 0,976 AU
Eksentrisitet: 0,740
Inklinasjon: 70,0°
Knutelengde: 286,3°
Perihelargument: 190,4°
Midlere anomali: 359,0°
Epoke: 2026 JAN 06 23:56:52
orbit plot

Ikke-interaktivt plott | Interaktivt plott

position vs time
speed and acceleration

Hagar (HGR) cam4


gnomonic
Videoer
• Gnomonisk
• Gnomonisk med koordinater
• Original
• Original med koordinater
Bilder
• Gnomonisk
• Gnomonisk med koordinater
• Original
• Original med koordinater
Tekstfiler
• Deteksjon
• Observasjon
• Koordinater
• Logg
Lysstyrke

Harestua (HAR) cam7


gnomonic
Videoer
• Gnomonisk
• Gnomonisk med koordinater
• Original
• Original med koordinater
Bilder
• Gnomonisk
• Gnomonisk med koordinater
• Original
• Original med koordinater
Tekstfiler
• Deteksjon
• Observasjon
• Koordinater
• Logg
Lysstyrke