🇳🇴 🇬🇧 🇩🇪 🇨🇿 🇫🇮

Meteor, poloha: Ørje 2026-01-10 04:14:36 UTC

Soubor KML  |  Interaktivní mapa

Mapa zobrazuje dráhy meteoru. Světlejší čáry ukazují směry od pozorovacích stanic při objevení se meteoru a tmavší čáry, kde byl naposledy viděn. Modrá šipka značí viditelnou dráhu meteoru.

static map
height profile
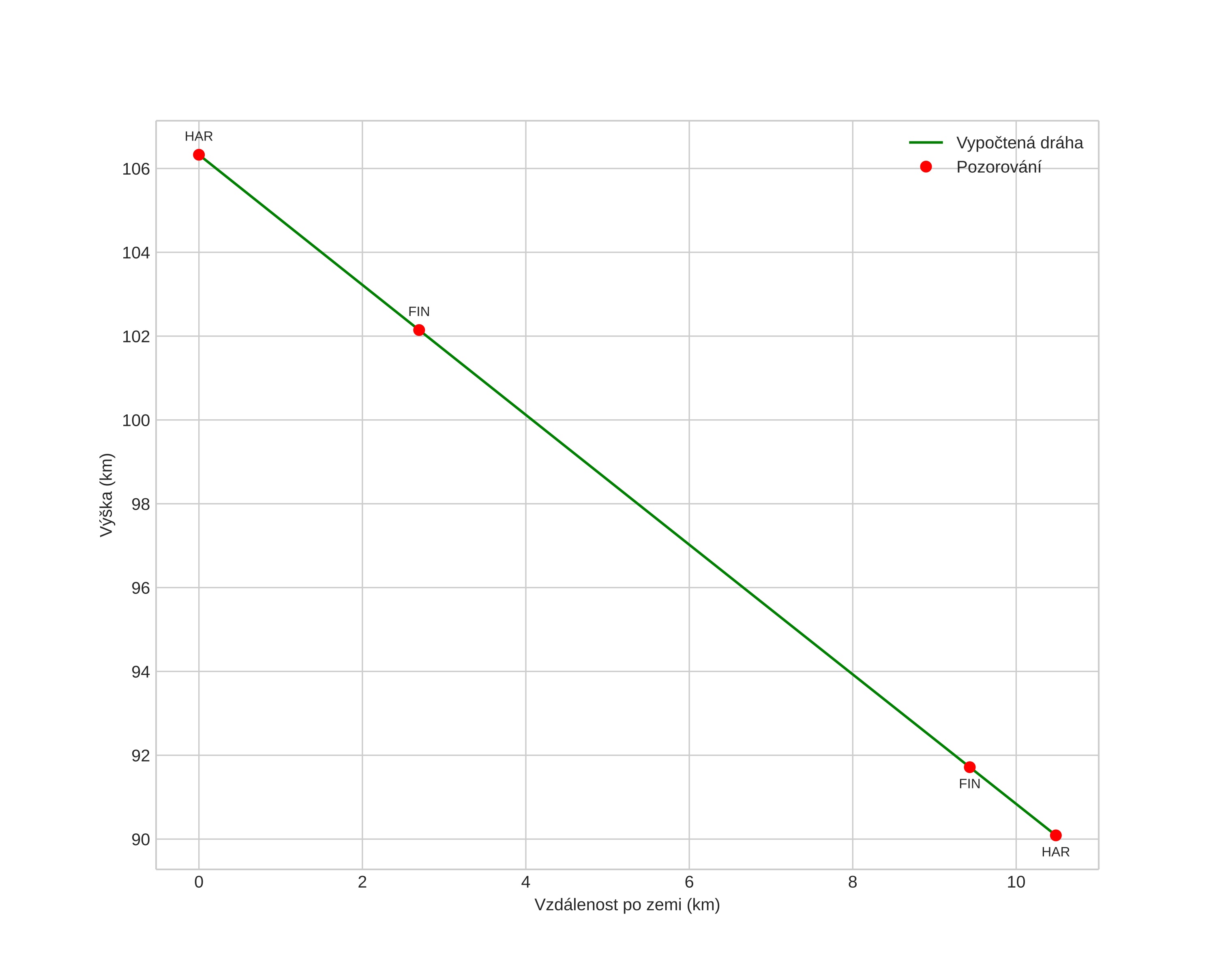
Atmosférická dráha meteoru:
Počáteční výška: 106,3 km
Konečná výška: 90,1 km
Počáteční poloha: 59,667N 11,911E
Konečná poloha: 59,649N 11,727E
Směr: 259,1°
Sklon: 57,1°
Vstupní rychlost: 45,2 km/s
Rektascenze radiantu: 16:12 (243,1°)
Deklinace radiantu: 50,8°
Meteorický roj: Kvadrantidy
Elementy dráhy meteoroidu:
Vzdálenost v periheliu: 0,974 AU
Excentricita: 1,134
Sklon dráhy: 69,2°
Délka vzestupného uzlu: 289,6°
Argument perihelia: 169,0°
Střední anomálie: 0,4°
Epocha: 2026 JAN 10 04:14:36
orbit plot

Neinteraktivní graf | Interaktivní graf

position vs time
speed and acceleration