🇳🇴 🇬🇧 🇩🇪 🇨🇿 🇫🇮

Meteor over Brumunddal 2026-01-10 05:04:29 UTC

KML-fil  |  Interaktivt kart

Kartet viser peilingene for meteoren. De lysere linjene viser retningene fra observasjonsstedene for meteorens tilsynekomst, og de mørkere linjene viser hvor den sist kunne sees. Den blå pila viser meteorens synlige ferd.

static map
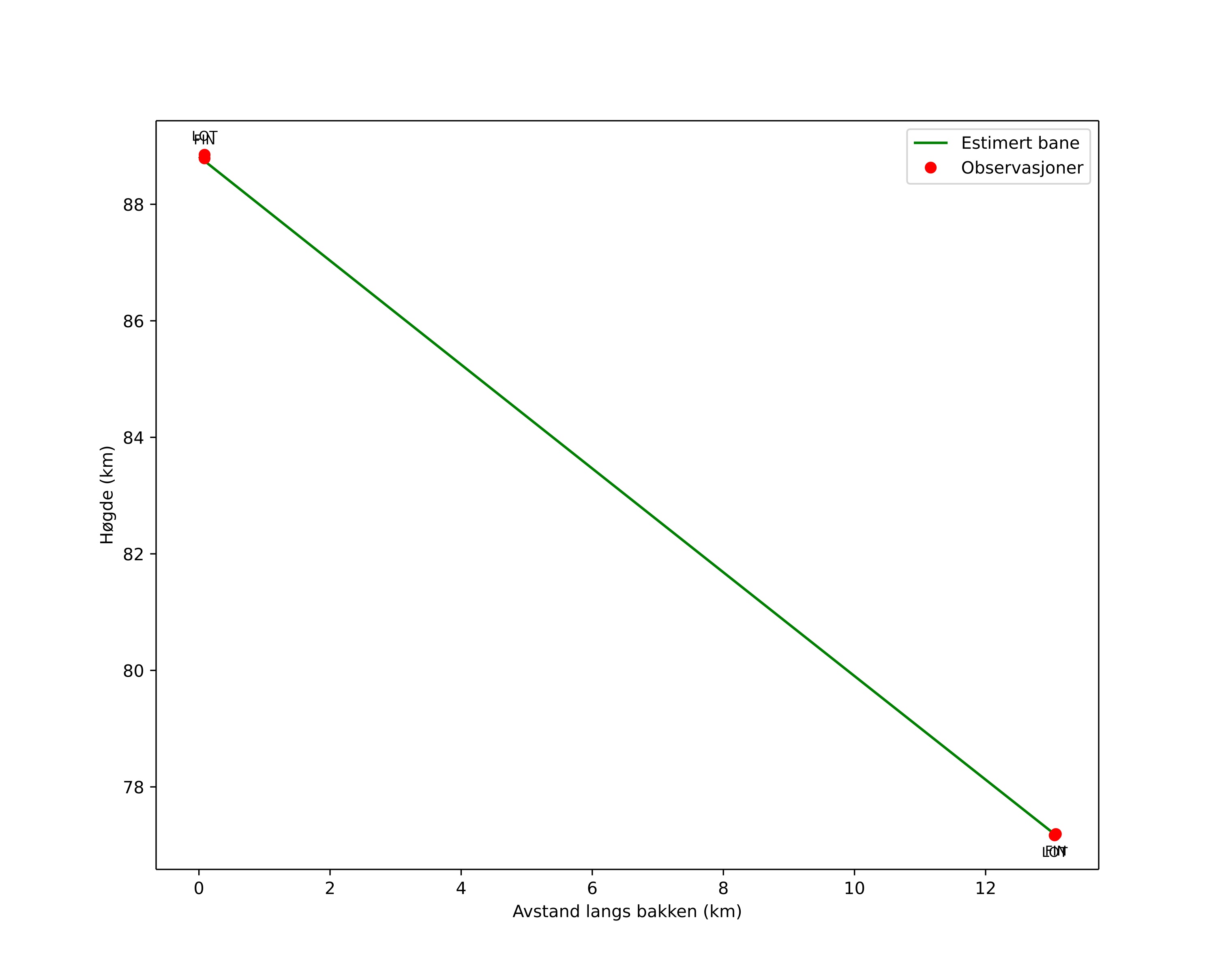
height profile
Meteorens atmosfæriske bane:
Starthøgde: 88,8 km
Slutthøgde: 77,2 km
Startposisjon: 60,948N 11,158E
Sluttposisjon: 60,858N 11,003E
Retning: 219,9°
Fallvinkel: 41,6°
Inngangshastighet: 16,4 km/s
Radiantens rektascensjon: 21:02 (315,7°)
Radiantens deklinasjon: 53,1°
Meteorsverm: sporadisk
Meteoroidens baneelement:
Perihelavstand: 0,976 AU
Eksentrisitet: 0,482
Inklinasjon: 17,1°
Knutelengde: 289,6°
Perihelargument: 167,8°
Midlere anomali: 3,8°
Epoke: 2026 JAN 10 05:04:29
orbit plot

Ikke-interaktivt plott | Interaktivt plott

position vs time
speed and acceleration

Finnskogen (FIN) cam5


gnomonic
Videoer
• Gnomonisk
• Gnomonisk med koordinater
• Original
• Original med koordinater
Bilder
• Gnomonisk
• Gnomonisk med koordinater
• Original
• Original med koordinater
Tekstfiler
• Deteksjon
• Observasjon
• Koordinater
• Logg
Lysstyrke

Loten (LOT) cam6


gnomonic
Videoer
• Gnomonisk
• Gnomonisk med koordinater
• Original
• Original med koordinater
Bilder
• Gnomonisk
• Gnomonisk med koordinater
• Original
• Original med koordinater
Tekstfiler
• Deteksjon
• Observasjon
• Koordinater
• Logg
Lysstyrke