🇳🇴 🇬🇧 🇩🇪 🇨🇿 🇫🇮

Meteor over Eidsvoll 2026-01-10 05:30:52 UTC

KML-fil  |  Interaktivt kart

Kartet viser peilingene for meteoren. De lysere linjene viser retningene fra observasjonsstedene for meteorens tilsynekomst, og de mørkere linjene viser hvor den sist kunne sees. Den blå pila viser meteorens synlige ferd.

static map
height profile
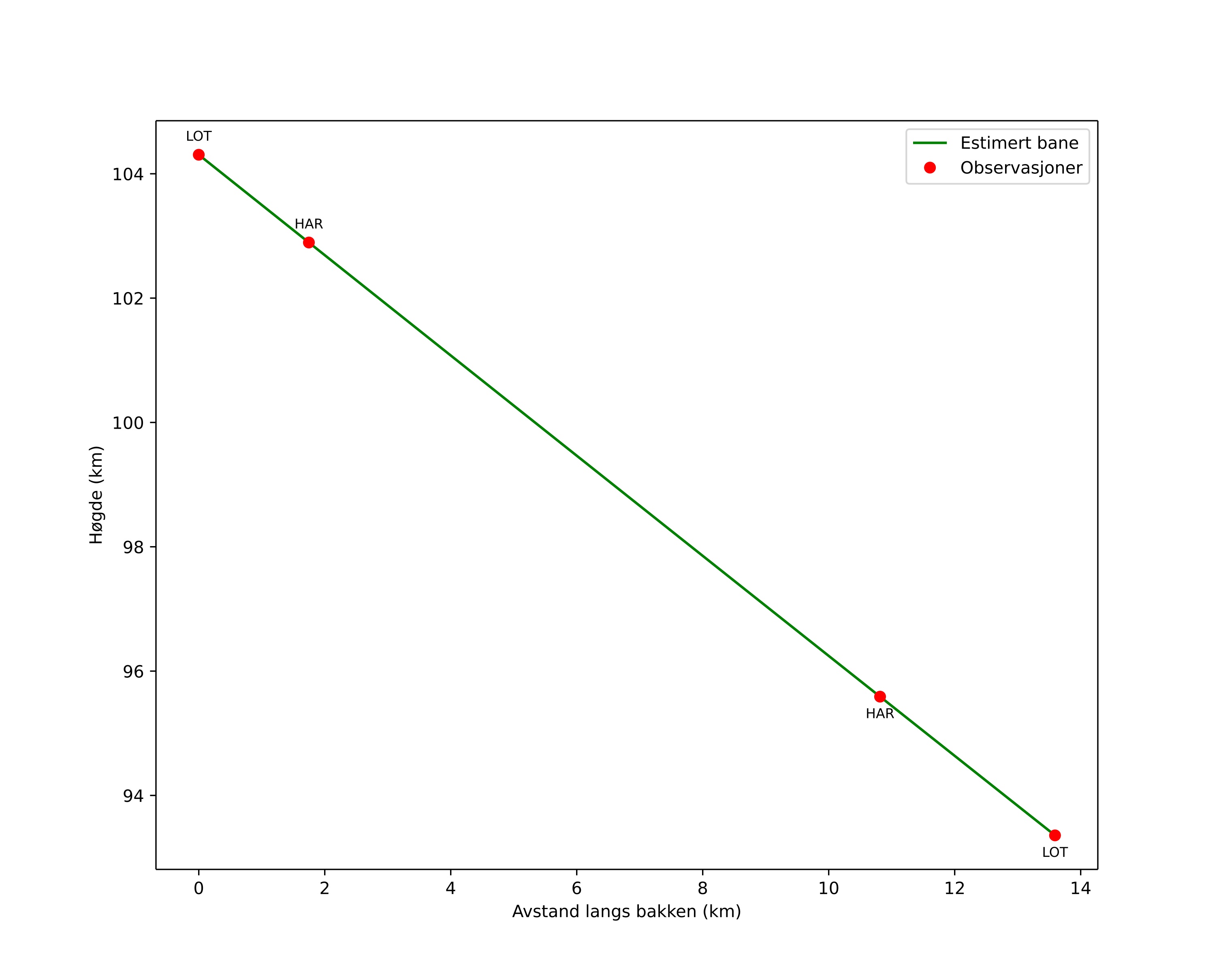
Meteorens atmosfæriske bane:
Starthøgde: 104,3 km
Slutthøgde: 93,4 km
Startposisjon: 60,418N 11,119E
Sluttposisjon: 60,506N 11,290E
Retning: 43,4°
Fallvinkel: 38,7°
Inngangshastighet: 53,1 km/s
Radiantens rektascensjon: 11:16 (169,0°)
Radiantens deklinasjon: 14,8°
Meteorsverm: sporadisk
Meteoroidens baneelement:
Perihelavstand: 0,117 AU
Eksentrisitet: 0,906
Inklinasjon: 144,1°
Knutelengde: 289,6°
Perihelargument: 328,6°
Midlere anomali: 334,0°
Epoke: 2026 JAN 10 05:30:52
orbit plot

Ikke-interaktivt plott | Interaktivt plott

position vs time
speed and acceleration

Harestua (HAR) cam6


gnomonic
Videoer
• Gnomonisk
• Gnomonisk med koordinater
• Original
• Original med koordinater
Bilder
• Gnomonisk
• Gnomonisk med koordinater
• Original
• Original med koordinater
Tekstfiler
• Deteksjon
• Observasjon
• Koordinater
• Logg
Lysstyrke

Loten (LOT) cam7


gnomonic
Videoer
• Gnomonisk
• Gnomonisk med koordinater
• Original
• Original med koordinater
Bilder
• Gnomonisk
• Gnomonisk med koordinater
• Original
• Original med koordinater
Tekstfiler
• Deteksjon
• Observasjon
• Koordinater
• Logg
Lysstyrke