🇳🇴 🇬🇧 🇩🇪 🇨🇿 🇫🇮

Meteor over Vik 2026-01-10 23:31:08 UTC

KML-fil  |  Interaktivt kart

Kartet viser peilingene for meteoren. De lysere linjene viser retningene fra observasjonsstedene for meteorens tilsynekomst, og de mørkere linjene viser hvor den sist kunne sees. Den blå pila viser meteorens synlige ferd.

static map
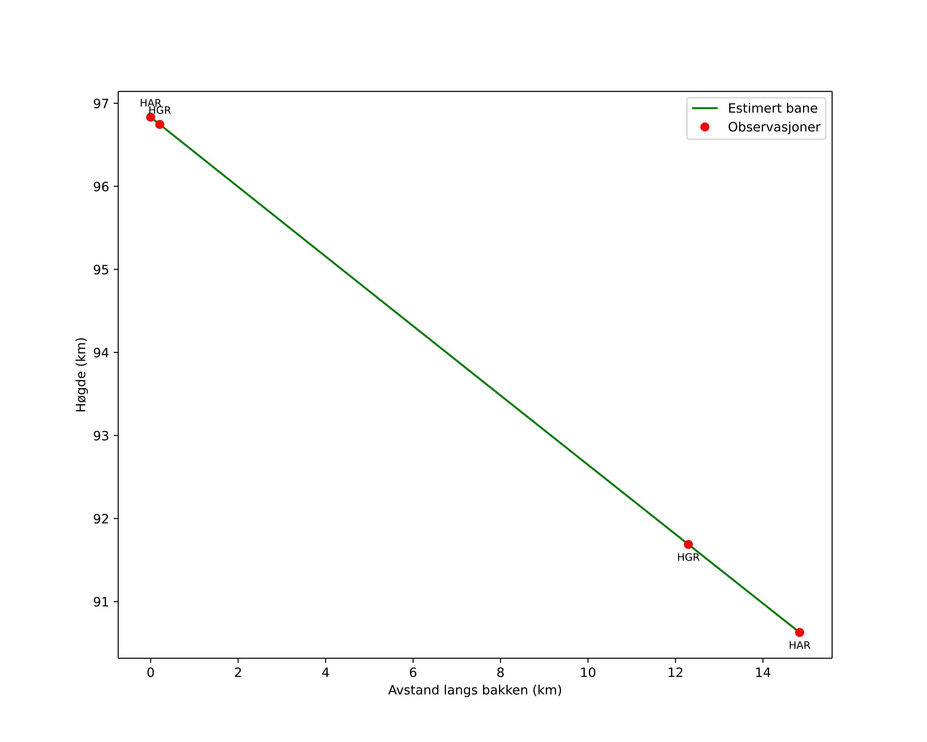
height profile
Meteorens atmosfæriske bane:
Starthøgde: 96,8 km
Slutthøgde: 90,6 km
Startposisjon: 60,101N 10,383E
Sluttposisjon: 60,070N 10,122E
Retning: 256,8°
Fallvinkel: 22,7°
Inngangshastighet: 66,7 km/s
Radiantens rektascensjon: 13:31 (202,9°)
Radiantens deklinasjon: 25,8°
Meteorsverm: sporadisk
Meteoroidens baneelement:
Perihelavstand: 0,938 AU
Eksentrisitet: 1,126
Inklinasjon: 124,3°
Knutelengde: 290,4°
Perihelargument: 204,1°
Midlere anomali: -0,8°
Epoke: 2026 JAN 10 23:31:08
orbit plot

Ikke-interaktivt plott | Interaktivt plott

position vs time
speed and acceleration

Hagar (HGR) cam6


gnomonic
Videoer
• Gnomonisk
• Gnomonisk med koordinater
• Original
• Original med koordinater
Bilder
• Gnomonisk
• Gnomonisk med koordinater
• Original
• Original med koordinater
Tekstfiler
• Deteksjon
• Observasjon
• Koordinater
• Logg
Lysstyrke

Harestua (HAR) cam7


gnomonic
Videoer
• Gnomonisk
• Gnomonisk med koordinater
• Original
• Original med koordinater
Bilder
• Gnomonisk
• Gnomonisk med koordinater
• Original
• Original med koordinater
Tekstfiler
• Deteksjon
• Observasjon
• Koordinater
• Logg
Lysstyrke