🇳🇴 🇬🇧 🇩🇪 🇨🇿 🇫🇮

Meteor over Bogen 2026-01-11 01:57:37 UTC

KML-fil  |  Interaktivt kart

Kartet viser peilingene for meteoren. De lysere linjene viser retningene fra observasjonsstedene for meteorens tilsynekomst, og de mørkere linjene viser hvor den sist kunne sees. Den blå pila viser meteorens synlige ferd.

static map
height profile
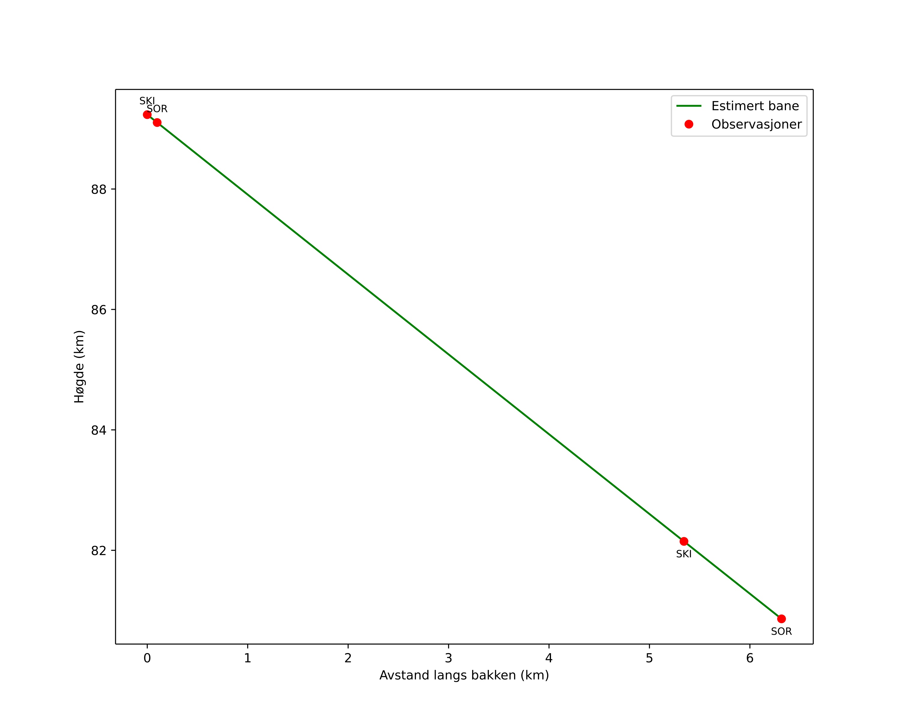
Meteorens atmosfæriske bane:
Starthøgde: 89,2 km
Slutthøgde: 80,9 km
Startposisjon: 68,439N 17,315E
Sluttposisjon: 68,431N 17,162E
Retning: 261,8°
Fallvinkel: 52,7°
Inngangshastighet: 42,7 km/s
Radiantens rektascensjon: 15:11 (227,9°)
Radiantens deklinasjon: 50,2°
Meteorsverm: Kvadrantidene
Meteoroidens baneelement:
Perihelavstand: 0,982 AU
Eksentrisitet: 0,657
Inklinasjon: 72,2°
Knutelengde: 290,5°
Perihelargument: 184,1°
Midlere anomali: 359,4°
Epoke: 2026 JAN 11 01:57:37
orbit plot

Ikke-interaktivt plott | Interaktivt plott

position vs time
speed and acceleration

Skibotn (SKI) cam5


gnomonic
Videoer
• Gnomonisk
• Gnomonisk med koordinater
• Original
• Original med koordinater
Bilder
• Gnomonisk
• Gnomonisk med koordinater
• Original
• Original med koordinater
Tekstfiler
• Deteksjon
• Observasjon
• Koordinater
• Logg
Lysstyrke

Sorreisa (SOR) cam4


gnomonic
Videoer
• Gnomonisk
• Gnomonisk med koordinater
• Original
• Original med koordinater
Bilder
• Gnomonisk
• Gnomonisk med koordinater
• Original
• Original med koordinater
Tekstfiler
• Deteksjon
• Observasjon
• Koordinater
• Logg
Lysstyrke