🇳🇴 🇬🇧 🇩🇪 🇨🇿 🇫🇮

Meteor, poloha: Ørje 2026-01-11 02:05:57 UTC

Soubor KML  |  Interaktivní mapa

Mapa zobrazuje dráhy meteoru. Světlejší čáry ukazují směry od pozorovacích stanic při objevení se meteoru a tmavší čáry, kde byl naposledy viděn. Modrá šipka značí viditelnou dráhu meteoru.

static map
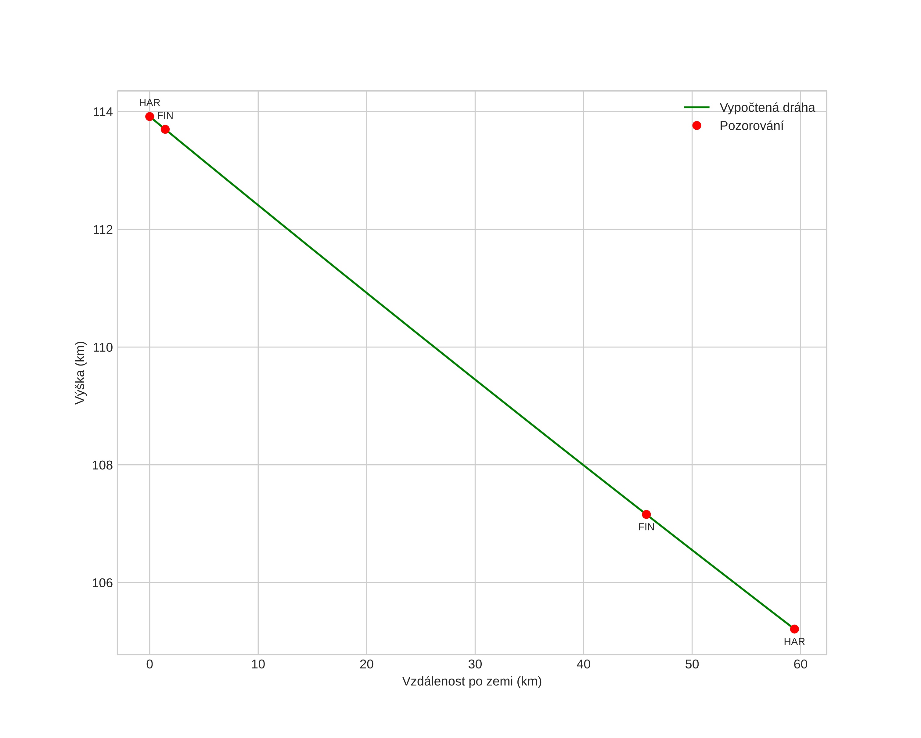
height profile
Atmosférická dráha meteoru:
Počáteční výška: 113,9 km
Konečná výška: 105,2 km
Počáteční poloha: 59,261N 12,529E
Konečná poloha: 59,525N 11,616E
Směr: 299,9°
Sklon: 8,3°
Vstupní rychlost: 70,0 km/s
Rektascenze radiantu: 14:16 (214,2°)
Deklinace radiantu: -7,8°
Meteorický roj: sporadický
Elementy dráhy meteoroidu:
Vzdálenost v periheliu: 0,800 AU
Excentricita: 0,854
Sklon dráhy: 169,6°
Délka vzestupného uzlu: 290,5°
Argument perihelia: 126,5°
Střední anomálie: 2,5°
Epocha: 2026 JAN 11 02:05:57
orbit plot

Neinteraktivní graf | Interaktivní graf

position vs time
speed and acceleration