🇳🇴 🇬🇧 🇩🇪 🇨🇿 🇫🇮

Meteor over Hovden 2026-01-11 06:02:08 UTC

KML-fil  |  Interaktivt kart

Kartet viser peilingene for meteoren. De lysere linjene viser retningene fra observasjonsstedene for meteorens tilsynekomst, og de mørkere linjene viser hvor den sist kunne sees. Den blå pila viser meteorens synlige ferd.

static map
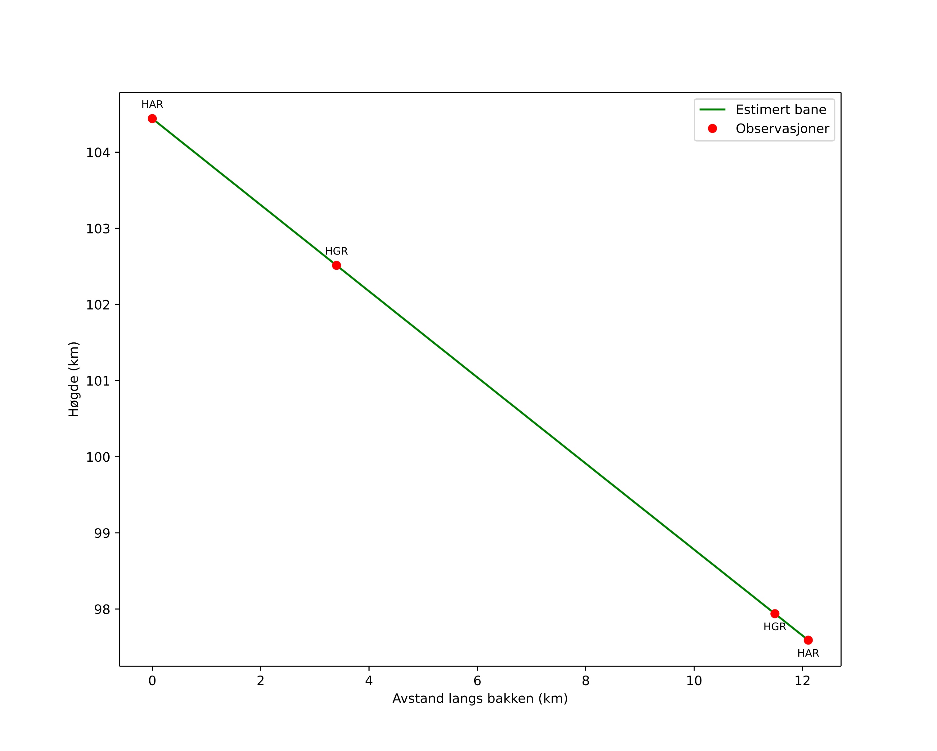
height profile
Meteorens atmosfæriske bane:
Starthøgde: 104,4 km
Slutthøgde: 97,6 km
Startposisjon: 59,235N 7,290E
Sluttposisjon: 59,280N 7,096E
Retning: 294,4°
Fallvinkel: 29,3°
Inngangshastighet: 54,6 km/s
Radiantens rektascensjon: 17:32 (263,1°)
Radiantens deklinasjon: 13,1°
Meteorsverm: sporadisk
Meteoroidens baneelement:
Perihelavstand: 0,495 AU
Eksentrisitet: 1,390
Inklinasjon: 73,3°
Knutelengde: 290,7°
Perihelargument: 98,4°
Midlere anomali: 21,5°
Epoke: 2026 JAN 11 06:02:08
orbit plot

Ikke-interaktivt plott | Interaktivt plott

position vs time
speed and acceleration

Hagar (HGR) cam5


gnomonic
Videoer
• Gnomonisk
• Gnomonisk med koordinater
• Original
• Original med koordinater
Bilder
• Gnomonisk
• Gnomonisk med koordinater
• Original
• Original med koordinater
Tekstfiler
• Deteksjon
• Observasjon
• Koordinater
• Logg
Lysstyrke

Harestua (HAR) cam4


gnomonic
Videoer
• Gnomonisk
• Gnomonisk med koordinater
• Original
• Original med koordinater
Bilder
• Gnomonisk
• Gnomonisk med koordinater
• Original
• Original med koordinater
Tekstfiler
• Deteksjon
• Observasjon
• Koordinater
• Logg
Lysstyrke