🇳🇴 🇬🇧 🇩🇪 🇨🇿 🇫🇮

Meteor over Olderdalen 2026-01-11 06:05:34 UTC

KML-fil  |  Interaktivt kart

Kartet viser peilingene for meteoren. De lysere linjene viser retningene fra observasjonsstedene for meteorens tilsynekomst, og de mørkere linjene viser hvor den sist kunne sees. Den blå pila viser meteorens synlige ferd.

static map
height profile
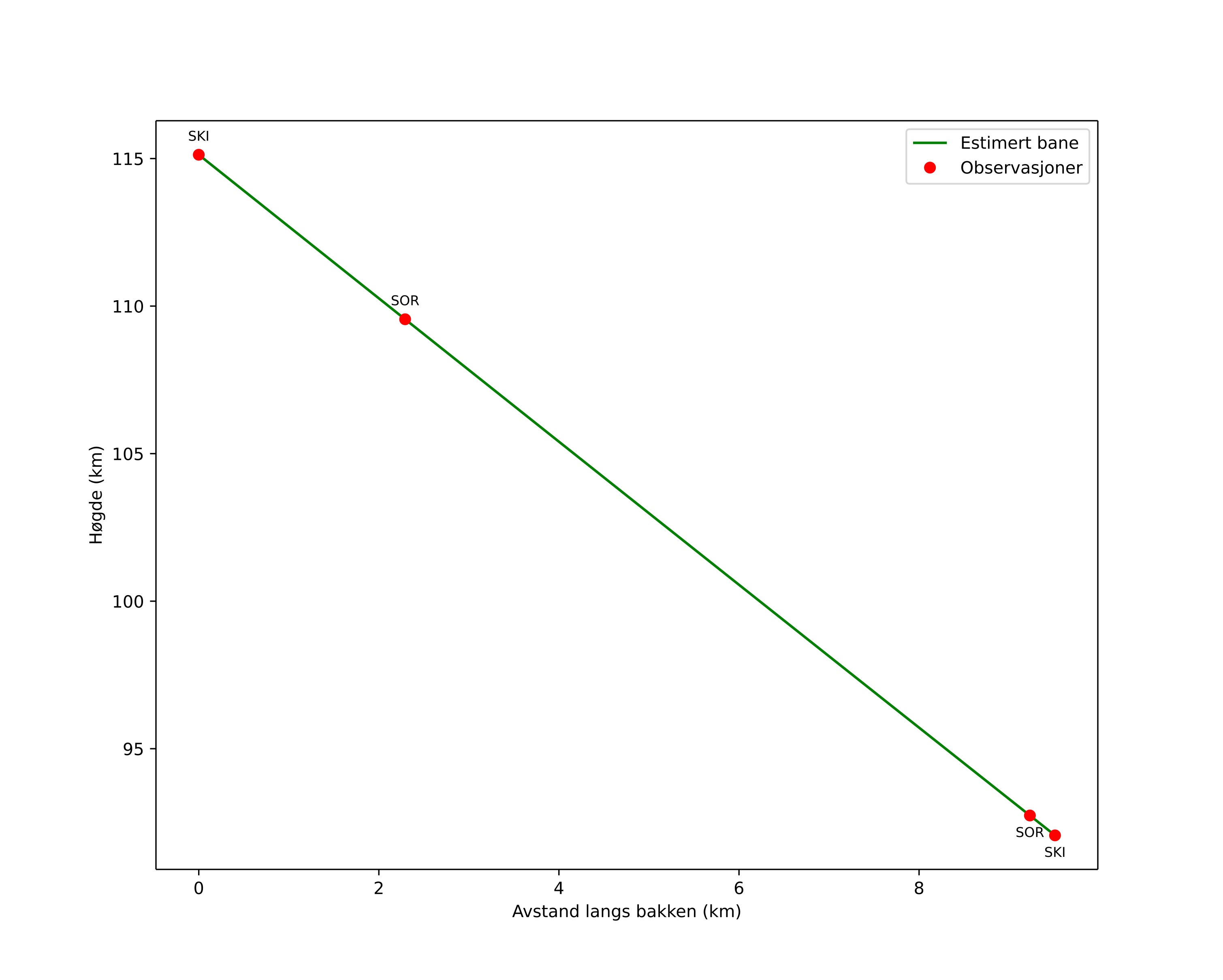
Meteorens atmosfæriske bane:
Starthøgde: 115,1 km
Slutthøgde: 92,1 km
Startposisjon: 68,748N 21,167E
Sluttposisjon: 68,799N 20,977E
Retning: 306,9°
Fallvinkel: 67,5°
Inngangshastighet: 55,0 km/s
Radiantens rektascensjon: 16:48 (252,0°)
Radiantens deklinasjon: 50,9°
Meteorsverm: sporadisk
Meteoroidens baneelement:
Perihelavstand: 0,966 AU
Eksentrisitet: 2,240
Inklinasjon: 72,8°
Knutelengde: 290,7°
Perihelargument: 166,9°
Midlere anomali: 10,2°
Epoke: 2026 JAN 11 06:05:34
orbit plot

Ikke-interaktivt plott | Interaktivt plott

position vs time
speed and acceleration

Skibotn (SKI) cam7


gnomonic
Videoer
• Gnomonisk
• Gnomonisk med koordinater
• Original
• Original med koordinater
Bilder
• Gnomonisk
• Gnomonisk med koordinater
• Original
• Original med koordinater
Tekstfiler
• Deteksjon
• Observasjon
• Koordinater
• Logg
Lysstyrke

Sorreisa (SOR) cam2


gnomonic
Videoer
• Gnomonisk
• Gnomonisk med koordinater
• Original
• Original med koordinater
Bilder
• Gnomonisk
• Gnomonisk med koordinater
• Original
• Original med koordinater
Tekstfiler
• Deteksjon
• Observasjon
• Koordinater
• Logg
Lysstyrke