🇳🇴 🇬🇧 🇩🇪 🇨🇿 🇫🇮

Meteor über Mjøndalen 2026-01-11 06:20:26 UTC

KML-Datei  |  Interaktive Karte

Die Karte zeigt die Peilungen für den Meteor. Die helleren Linien zeigen die Richtungen von den Beobachtungsorten beim Erscheinen des Meteors, und die dunkleren Linien, wo er zuletzt gesehen wurde. Der blaue Pfeil zeigt die sichtbare Bahn des Meteors.

static map
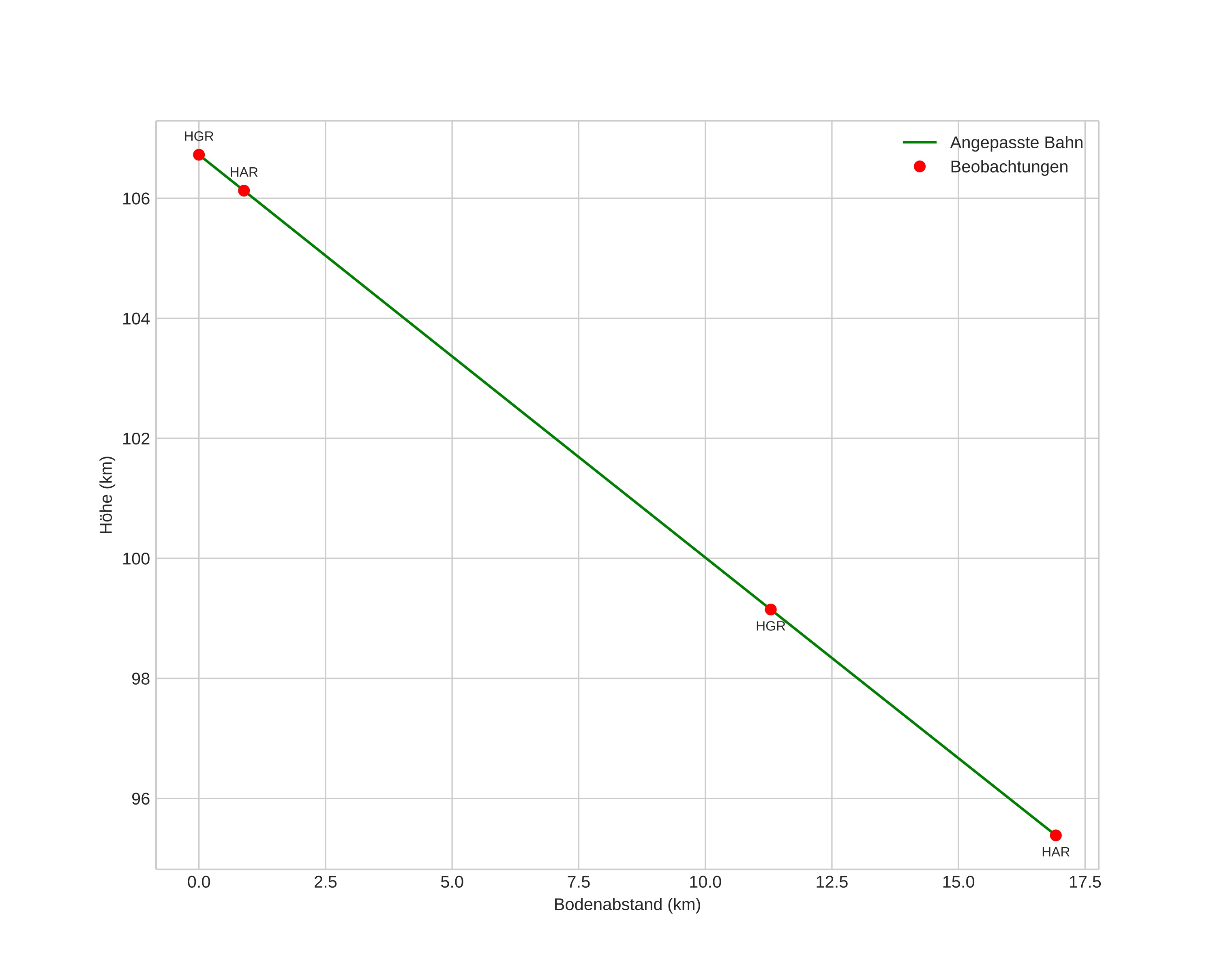
height profile
Atmosphärische Bahn des Meteors:
Anfangshöhe: 106,7 km
Endhöhe: 95,4 km
Startposition: 59,615N 10,101E
Endposition: 59,758N 9,996E
Richtung: 339,7°
Neigungswinkel: 33,7°
Eintrittsgeschwindigkeit: 63,6 km/s
Rektaszension des Radianten: 15:29 (232,3°)
Deklination des Radianten: 4,4°
Meteorstrom: sporadisch
Bahnelemente des Meteoroiden:
Periheldistanz: 0,559 AU
Exzentrizität: 0,961
Inklination: 130,7°
Länge des aufsteigenden Knotens: 290,7°
Argument des Perihels: 96,9°
Mittlere Anomalie: 0,7°
Epoche: 2026 JAN 11 06:20:26
orbit plot

Nicht-interaktives Diagramm | Interaktives Diagramm

position vs time
speed and acceleration

Hagar (HGR) cam5


gnomonic
Videos
• Gnomonisch
• Gnomonisch mit Koordinaten
• Original
• Original mit Koordinaten
Bilder
• Gnomonisch
• Gnomonisch mit Koordinaten
• Original
• Original mit Koordinaten
Textdateien
• Erkennung
• Beobachtung
• Koordinaten
• Protokoll
Helligkeit

Harestua (HAR) cam7


gnomonic
Videos
• Gnomonisch
• Gnomonisch mit Koordinaten
• Original
• Original mit Koordinaten
Bilder
• Gnomonisch
• Gnomonisch mit Koordinaten
• Original
• Original mit Koordinaten
Textdateien
• Erkennung
• Beobachtung
• Koordinaten
• Protokoll
Helligkeit