🇳🇴 🇬🇧 🇩🇪 🇨🇿 🇫🇮

Meteor over Emmaboda 2026-01-11 19:34:27 UTC

KML-fil  |  Interaktivt kart

Kartet viser peilingene for meteoren. De lysere linjene viser retningene fra observasjonsstedene for meteorens tilsynekomst, og de mørkere linjene viser hvor den sist kunne sees. Den blå pila viser meteorens synlige ferd.

static map
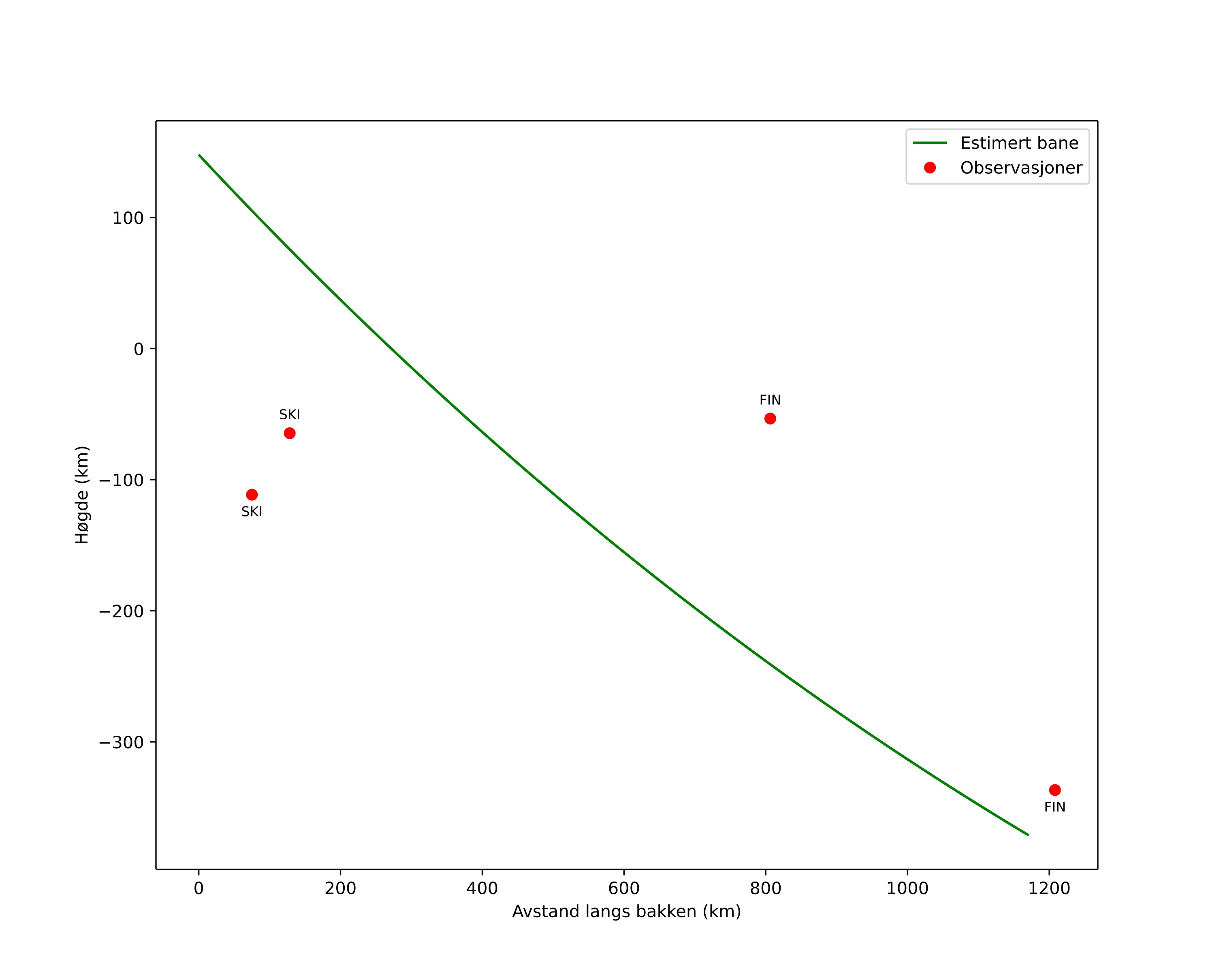
height profile
Meteorens atmosfæriske bane:
Starthøgde: 145,5 km
Slutthøgde: -372,4 km
Startposisjon: 67,171N 19,107E
Sluttposisjon: 56,814N 15,508E
Retning: 190,9°
Fallvinkel: 23,9°
Inngangshastighet: 240,7 km/s
Radiantens rektascensjon: 15:17 (229,3°)
Radiantens deklinasjon: 46,3°
Meteorsverm: sporadisk
Meteoroidens baneelement:
Perihelavstand: 0,983 AU
Eksentrisitet: 56,183
Inklinasjon: 112,6°
Knutelengde: 291,2°
Perihelargument: 178,9°
Midlere anomali: 58,4°
Epoke: 2026 JAN 11 19:34:27
orbit plot

Ikke-interaktivt plott | Interaktivt plott

position vs time
speed and acceleration

Finnskogen (FIN) cam6


gnomonic
Videoer
• Gnomonisk
• Gnomonisk med koordinater
• Original
• Original med koordinater
Bilder
• Gnomonisk
• Gnomonisk med koordinater
• Original
• Original med koordinater
Tekstfiler
• Deteksjon
• Observasjon
• Koordinater
• Logg
Lysstyrke

Skibotn (SKI) cam1


gnomonic
Videoer
• Gnomonisk
• Gnomonisk med koordinater
• Original
• Original med koordinater
Bilder
• Gnomonisk
• Gnomonisk med koordinater
• Original
• Original med koordinater
Tekstfiler
• Deteksjon
• Observasjon
• Koordinater
• Logg
Lysstyrke