🇳🇴 🇬🇧 🇩🇪 🇨🇿 🇫🇮

Meteor, poloha: Storsteinnes 2026-01-13 02:16:12 UTC

Soubor KML  |  InteraktivnĂ­ mapa

Mapa zobrazuje dráhy meteoru. Světlejší čáry ukazují směry od pozorovacích stanic při objevení se meteoru a tmavší čáry, kde byl naposledy viděn. Modrá šipka značí viditelnou dráhu meteoru.

static map
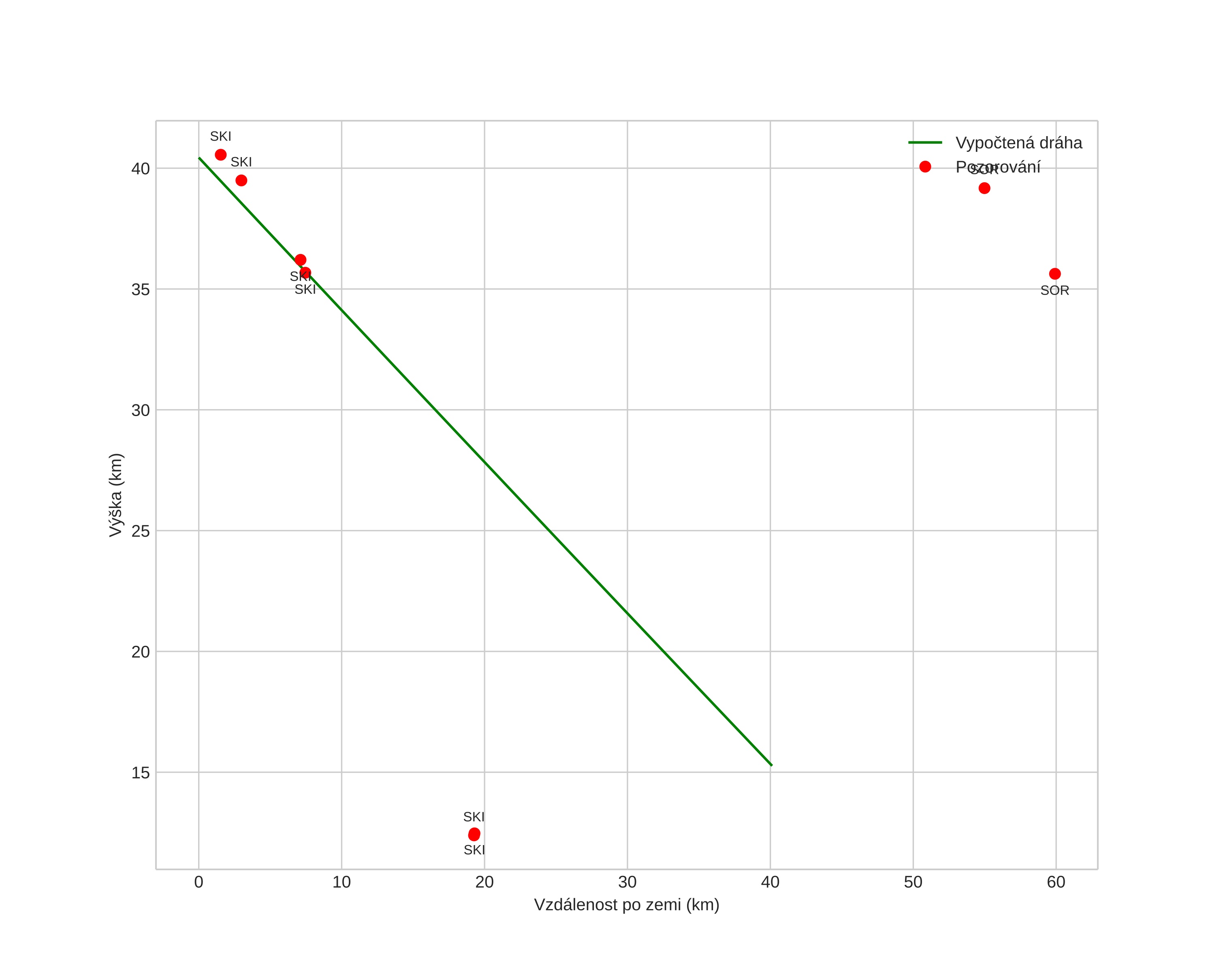
height profile
wind profile
Atmosférická dráha meteoru:
Počáteční výška: 40,4 km
Konečná výška: 15,3 km
Počáteční poloha: 69,320N 20,226E
Konečná poloha: 69,441N 19,260E
Směr: 290,0°
Sklon: 32,0°
VstupnĂ­ rychlost: 20,6 km/s
Rektascenze radiantu: 15:13 (228,3°)
Deklinace radiantu: 18,2°
MeteorickĂ˝ roj: sporadickĂ˝
Elementy dráhy meteoroidu:
Vzdálenost v periheliu: 0,259 AU
Excentricita: 0,588
Sklon dráhy: 30,2°
Délka vzestupného uzlu: 292,5°
Argument perihelia: 9,0°
Střední anomálie: 152,1°
Epocha: 2026 JAN 13 02:16:12
orbit plot

NeinteraktivnĂ­ graf | InteraktivnĂ­ graf

position vs time
speed and acceleration

Skibotn (SKI) cam6


gnomonic
Videa
• Gnomonická
• Gnomonická se souřadnicemi
• Původní
• Původní se souřadnicemi
Obrázky
• Gnomonická
• Gnomonická se souřadnicemi
• Původní
• Původní se souřadnicemi
Textové soubory
• Detekce
• Pozorování
• Souřadnice
• Protokol
Jasnost

Skibotn (SKI) cam7


gnomonic
Videa
• Gnomonická
• Gnomonická se souřadnicemi
• Původní
• Původní se souřadnicemi
Obrázky
• Gnomonická
• Gnomonická se souřadnicemi
• Původní
• Původní se souřadnicemi
Textové soubory
• Detekce
• Pozorování
• Souřadnice
• Protokol
Jasnost

Sorreisa (SOR) cam6


gnomonic
Videa
• Gnomonická
• Gnomonická se souřadnicemi
• Původní
• Původní se souřadnicemi
Obrázky
• Gnomonická
• Gnomonická se souřadnicemi
• Původní
• Původní se souřadnicemi
Textové soubory
• Detekce
• Pozorování
• Souřadnice
• Protokol
Jasnost