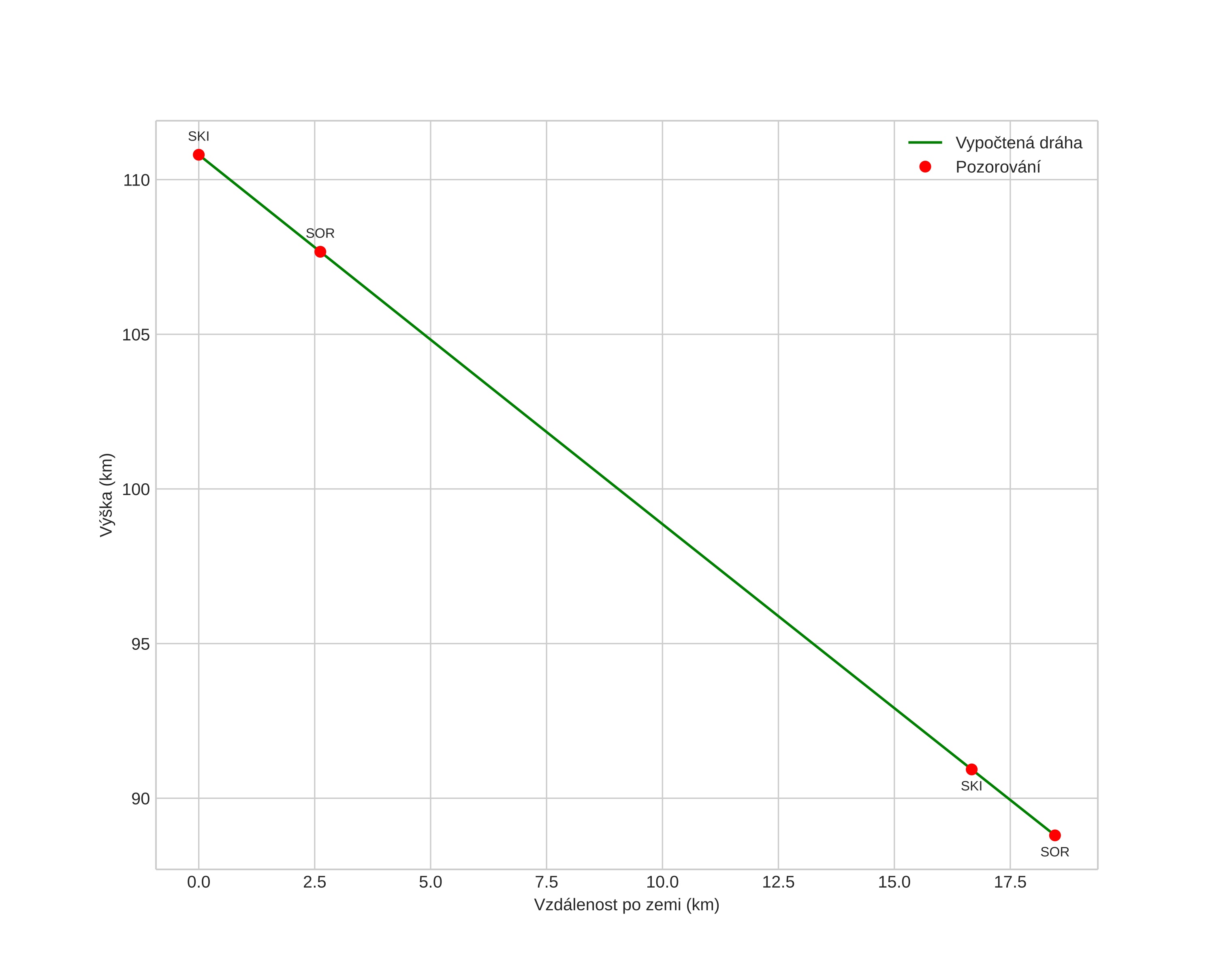
Atmosférická dráha meteoru:
| Počátečnà výška: | 110,8 km |
| Konečná výška: | 88,8 km |
| Počátečnà poloha: | 66,223N 18,795E |
| Konečná poloha: | 66,363N 18,573E |
| Směr: | 327,6° |
| Sklon: | 50,0° |
| VstupnĂ rychlost: | 72,6 km/s |
| Rektascenze radiantu: | 13:13 (198,5°) |
| Deklinace radiantu: | 28,7° |
| MeteorickĂ˝ roj: | sporadickĂ˝ |
|
Elementy dráhy meteoroidu:
| Vzdálenost v periheliu: | 0,882 AU |
| Excentricita: | 1,798 |
| Sklon dráhy: | 123,9° |
| Délka vzestupného uzlu: | 292,6° |
| Argument perihelia: | 212,9° |
| Střednà anomálie: | -15,1° |
| Epocha: | 2026 JAN 13 02:57:47 |
|