🇳🇴 🇬🇧 🇩🇪 🇨🇿 🇫🇮

Meteor Arjeplogin yllä 2026-01-13 02:57:47 UTC

KML-tiedosto  |  Interaktiivinen kartta

Kartta näyttää meteorin suuntahavainnot. Vaaleammat viivat näyttävät suunnat havaintoasemilta meteorin ilmestyessä, ja tummemmat viivat näyttävät, missä se viimeksi nähtiin. Sininen nuoli näyttää meteorin näkyvän lennon.

static map
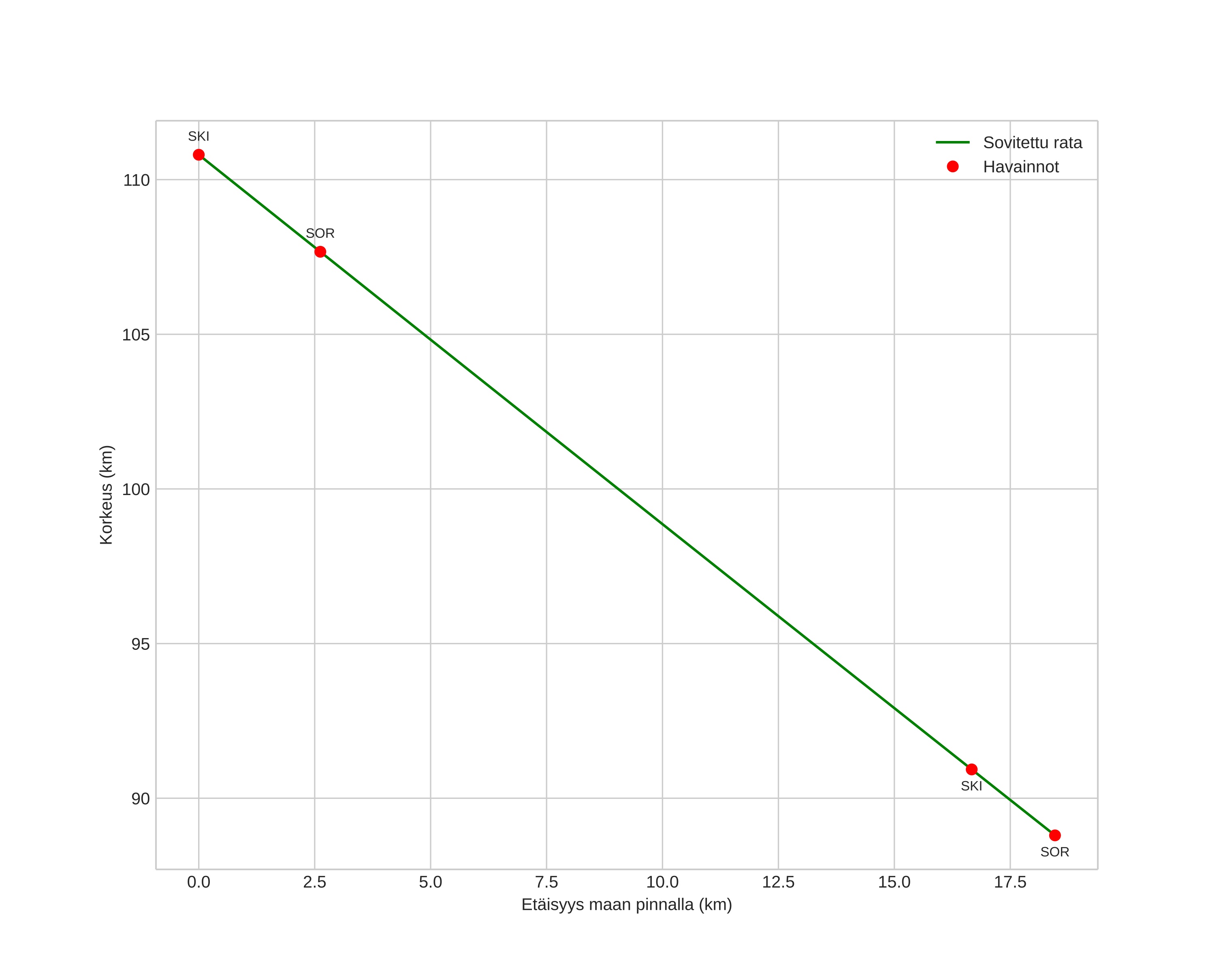
height profile
Meteorin ilmakehärata:
Alkukorkeus: 110,8 km
Loppukorkeus: 88,8 km
Alkupiste: 66,223N 18,795E
Loppupiste: 66,363N 18,573E
Suunta: 327,6°
Kallistuskulma: 50,0°
Tulonopeus: 72,6 km/s
Radiantin R,A,: 13:13 (198,5°)
Radiantin Dekl,: 28,7°
Meteoriparvi: Sporadinen
Meteoroidin rataelementit:
Perihelietäisyys: 0,882 AU
Eksentrisyys: 1,798
Inklinaatio: 123,9°
Nousevan solmun pituus: 292,6°
Perihelin argumentti: 212,9°
Keskianomalia: -15,1°
Epookki: 2026 JAN 13 02:57:47
orbit plot

Ei-interaktiivinen kuvaaja | Interaktiivinen kuvaaja

position vs time
speed and acceleration

Skibotn (SKI) cam4


gnomonic
Videot:
• Gnomoninen
• Gnomoninen koordinaateilla
• Alkuperäinen
• Alkuperäinen koordinaateilla
Kuvat:
• Gnomoninen
• Gnomoninen koordinaateilla
• Alkuperäinen
• Alkuperäinen koordinaateilla
Tekstitiedostot:
• Havaintoraportti
• Observaatio
• Koordinaatit
• Loki
Kirkkaus

Sorreisa (SOR) cam3


gnomonic
Videot:
• Gnomoninen
• Gnomoninen koordinaateilla
• Alkuperäinen
• Alkuperäinen koordinaateilla
Kuvat:
• Gnomoninen
• Gnomoninen koordinaateilla
• Alkuperäinen
• Alkuperäinen koordinaateilla
Tekstitiedostot:
• Havaintoraportti
• Observaatio
• Koordinaatit
• Loki
Kirkkaus