🇳🇴 🇬🇧 🇩🇪 🇨🇿 🇫🇮

Meteor über Sørreisa 2026-01-14 18:01:13 UTC

KML-Datei  |  Interaktive Karte

Die Karte zeigt die Peilungen für den Meteor. Die helleren Linien zeigen die Richtungen von den Beobachtungsorten beim Erscheinen des Meteors, und die dunkleren Linien, wo er zuletzt gesehen wurde. Der blaue Pfeil zeigt die sichtbare Bahn des Meteors.

static map
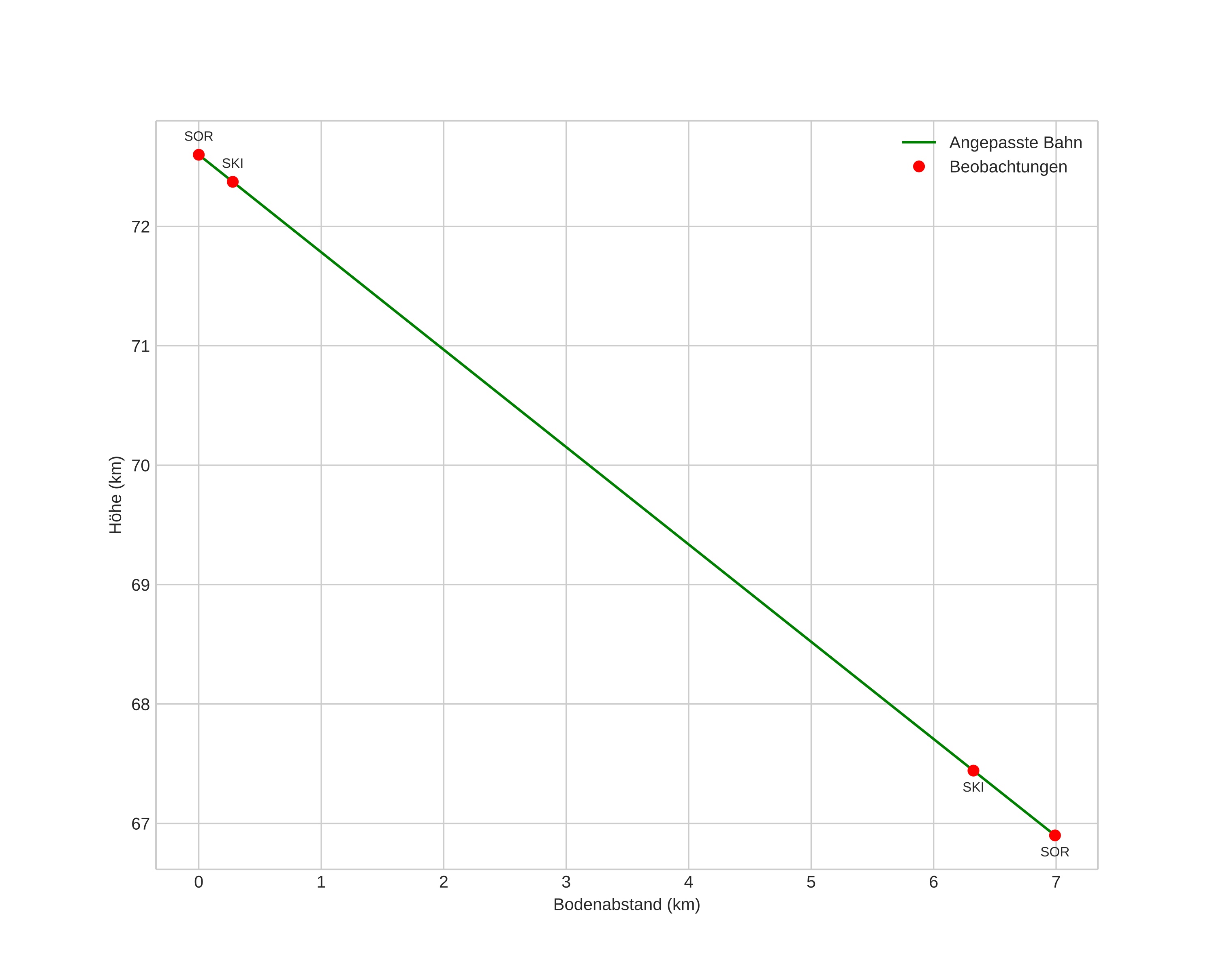
height profile
Atmosphärische Bahn des Meteors:
Anfangshöhe: 72,6 km
Endhöhe: 66,9 km
Startposition: 69,465N 18,260E
Endposition: 69,528N 18,242E
Richtung: 354,4°
Neigungswinkel: 39,2°
Eintrittsgeschwindigkeit: 13,4 km/s
Rektaszension des Radianten: 03:06 (46,6°)
Deklination des Radianten: 3,2°
Meteorstrom: sporadisch
Bahnelemente des Meteoroiden:
Periheldistanz: 0,977 AU
Exzentrizität: 0,534
Inklination: 2,7°
Länge des aufsteigenden Knotens: 114,3°
Argument des Perihels: 10,9°
Mittlere Anomalie: 357,2°
Epoche: 2026 JAN 14 18:01:13
orbit plot

Nicht-interaktives Diagramm | Interaktives Diagramm

position vs time
speed and acceleration

Skibotn (SKI) cam5


gnomonic
Videos
• Gnomonisch
• Gnomonisch mit Koordinaten
• Original
• Original mit Koordinaten
Bilder
• Gnomonisch
• Gnomonisch mit Koordinaten
• Original
• Original mit Koordinaten
Textdateien
• Erkennung
• Beobachtung
• Koordinaten
• Protokoll
Helligkeit

Sorreisa (SOR) cam6


gnomonic
Videos
• Gnomonisch
• Gnomonisch mit Koordinaten
• Original
• Original mit Koordinaten
Bilder
• Gnomonisch
• Gnomonisch mit Koordinaten
• Original
• Original mit Koordinaten
Textdateien
• Erkennung
• Beobachtung
• Koordinaten
• Protokoll
Helligkeit