🇳🇴 🇬🇧 🇩🇪 🇨🇿 🇫🇮

Meteor over Fossbergom 2026-01-15 00:28:12 UTC

KML-fil  |  Interaktivt kart

Kartet viser peilingene for meteoren. De lysere linjene viser retningene fra observasjonsstedene for meteorens tilsynekomst, og de mørkere linjene viser hvor den sist kunne sees. Den blå pila viser meteorens synlige ferd.

static map
height profile
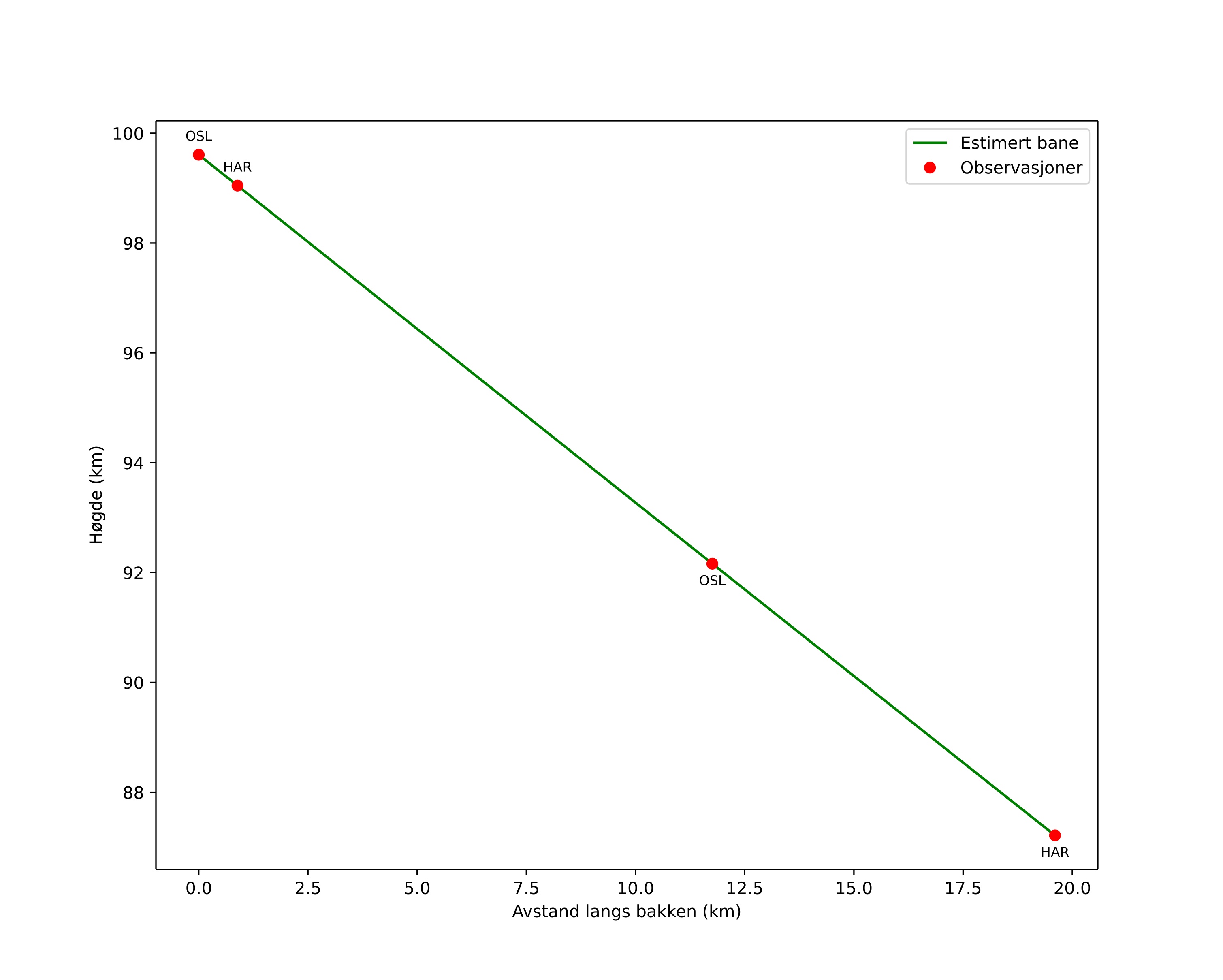
Meteorens atmosfæriske bane:
Starthøgde: 99,6 km
Slutthøgde: 87,2 km
Startposisjon: 61,705N 9,087E
Sluttposisjon: 61,742N 8,724E
Retning: 282,4°
Fallvinkel: 32,3°
Inngangshastighet: 57,3 km/s
Radiantens rektascensjon: 12:54 (193,7°)
Radiantens deklinasjon: 22,3°
Meteorsverm: desember-leonis-minoridene
Meteoroidens baneelement:
Perihelavstand: 0,598 AU
Eksentrisitet: 0,598
Inklinasjon: 124,5°
Knutelengde: 294,5°
Perihelargument: 272,7°
Midlere anomali: 332,7°
Epoke: 2026 JAN 15 00:28:12
orbit plot

Ikke-interaktivt plott | Interaktivt plott

position vs time
speed and acceleration

Harestua (HAR) cam1


gnomonic
Videoer
• Gnomonisk
• Gnomonisk med koordinater
• Original
• Original med koordinater
Bilder
• Gnomonisk
• Gnomonisk med koordinater
• Original
• Original med koordinater
Tekstfiler
• Deteksjon
• Observasjon
• Koordinater
• Logg
Lysstyrke

Voksenlia (OSL) cam1


gnomonic
Videoer
• Gnomonisk
• Gnomonisk med koordinater
• Original
• Original med koordinater
Bilder
• Gnomonisk
• Gnomonisk med koordinater
• Original
• Original med koordinater
Tekstfiler
• Deteksjon
• Observasjon
• Koordinater
• Logg
Lysstyrke