🇳🇴 🇬🇧 🇩🇪 🇨🇿 🇫🇮

Meteor, poloha: Finnsnes 2026-01-15 00:35:18 UTC

Soubor KML  |  Interaktivní mapa

Mapa zobrazuje dráhy meteoru. Světlejší čáry ukazují směry od pozorovacích stanic při objevení se meteoru a tmavší čáry, kde byl naposledy viděn. Modrá šipka značí viditelnou dráhu meteoru.

static map
height profile
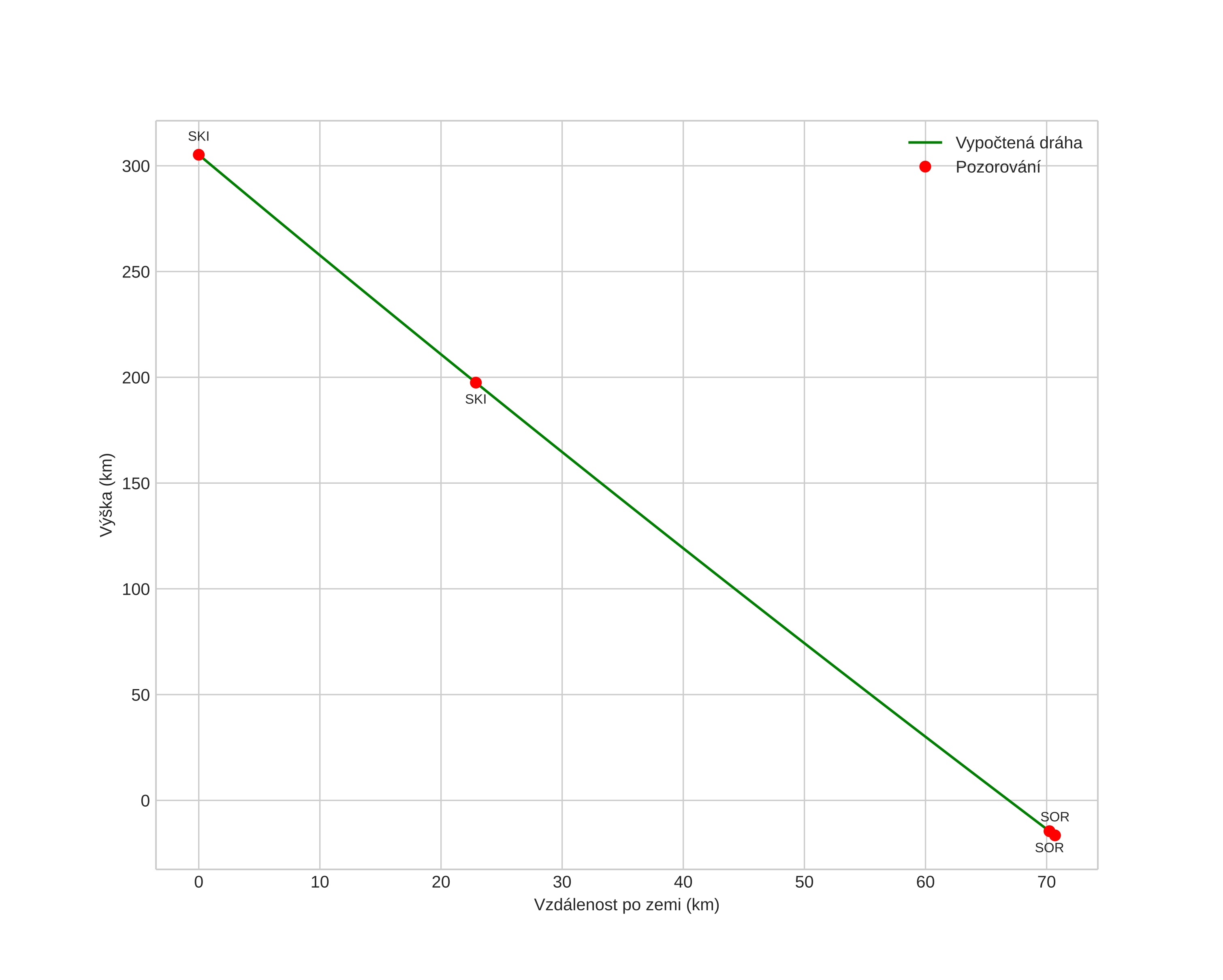
Atmosférická dráha meteoru:
Počáteční výška: 305,2 km
Konečná výška: -16,6 km
Počáteční poloha: 69,297N 19,600E
Konečná poloha: 69,187N 17,833E
Směr: 260,9°
Sklon: 77,6°
orbit plot

Neinteraktivní graf | Interaktivní graf

position vs time
speed and acceleration