🇳🇴 🇬🇧 🇩🇪 🇨🇿 🇫🇮

Meteor over Rena 2026-01-15 01:42:50 UTC

KML-fil  |  Interaktivt kart

Kartet viser peilingene for meteoren. De lysere linjene viser retningene fra observasjonsstedene for meteorens tilsynekomst, og de mørkere linjene viser hvor den sist kunne sees. Den blå pila viser meteorens synlige ferd.

static map
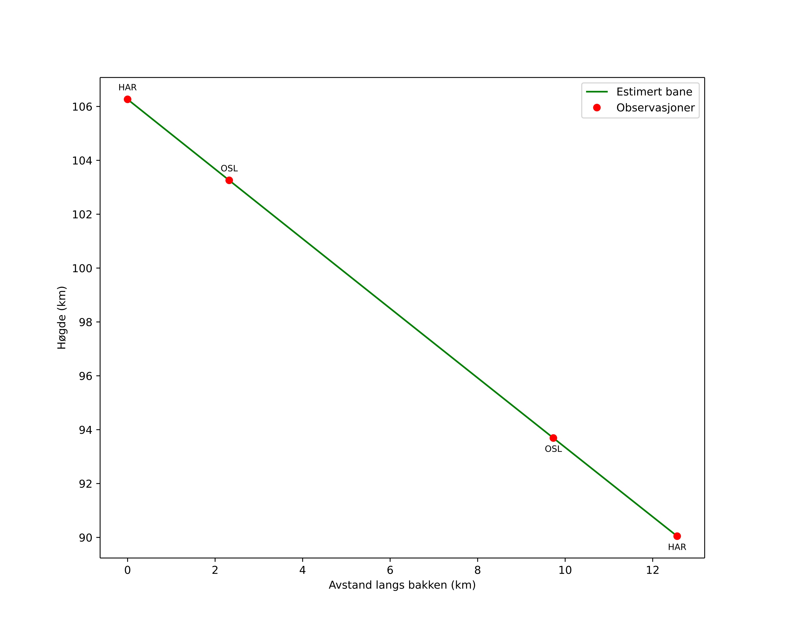
height profile
Meteorens atmosfæriske bane:
Starthøgde: 106,3 km
Slutthøgde: 90,0 km
Startposisjon: 61,215N 11,312E
Sluttposisjon: 61,271N 11,108E
Retning: 299,6°
Fallvinkel: 52,4°
Inngangshastighet: 60,9 km/s
Radiantens rektascensjon: 12:42 (190,5°)
Radiantens deklinasjon: 33,2°
Meteorsverm: sporadisk
Meteoroidens baneelement:
Perihelavstand: 0,680 AU
Eksentrisitet: 1,065
Inklinasjon: 110,4°
Knutelengde: 294,5°
Perihelargument: 246,4°
Midlere anomali: -1,0°
Epoke: 2026 JAN 15 01:42:50
orbit plot

Ikke-interaktivt plott | Interaktivt plott

position vs time
speed and acceleration

Harestua (HAR) cam1


gnomonic
Videoer
• Gnomonisk
• Gnomonisk med koordinater
• Original
• Original med koordinater
Bilder
• Gnomonisk
• Gnomonisk med koordinater
• Original
• Original med koordinater
Tekstfiler
• Deteksjon
• Observasjon
• Koordinater
• Logg
Lysstyrke

Voksenlia (OSL) cam1


gnomonic
Videoer
• Gnomonisk
• Gnomonisk med koordinater
• Original
• Original med koordinater
Bilder
• Gnomonisk
• Gnomonisk med koordinater
• Original
• Original med koordinater
Tekstfiler
• Deteksjon
• Observasjon
• Koordinater
• Logg
Lysstyrke