🇳🇴 🇬🇧 🇩🇪 🇨🇿 🇫🇮

Meteor Renan yllä 2026-01-15 01:42:50 UTC

KML-tiedosto  |  Interaktiivinen kartta

Kartta näyttää meteorin suuntahavainnot. Vaaleammat viivat näyttävät suunnat havaintoasemilta meteorin ilmestyessä, ja tummemmat viivat näyttävät, missä se viimeksi nähtiin. Sininen nuoli näyttää meteorin näkyvän lennon.

static map
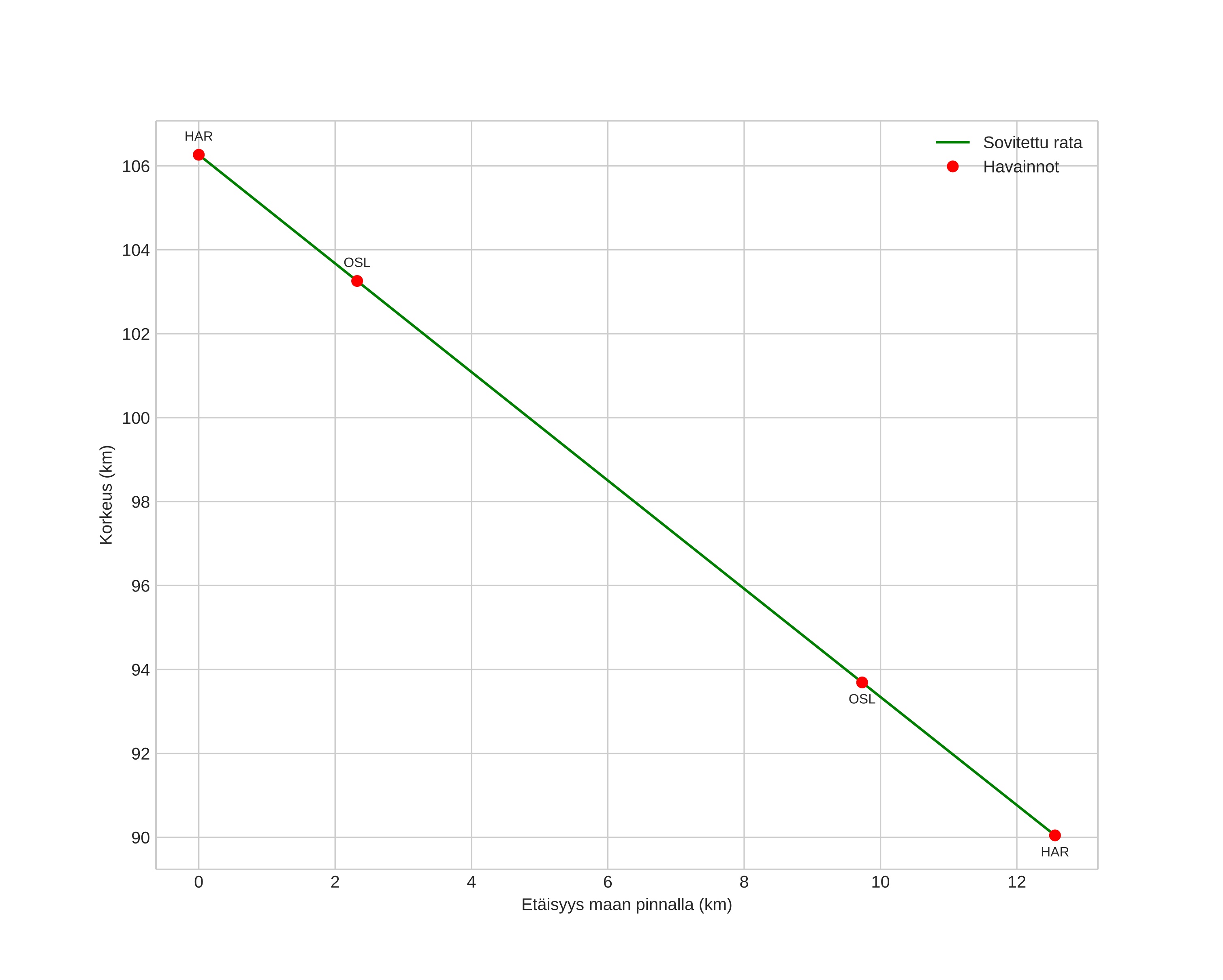
height profile
Meteorin ilmakehärata:
Alkukorkeus: 106,3 km
Loppukorkeus: 90,0 km
Alkupiste: 61,215N 11,312E
Loppupiste: 61,271N 11,108E
Suunta: 299,6°
Kallistuskulma: 52,4°
Tulonopeus: 60,9 km/s
Radiantin R,A,: 12:42 (190,5°)
Radiantin Dekl,: 33,2°
Meteoriparvi: Sporadinen
Meteoroidin rataelementit:
Perihelietäisyys: 0,680 AU
Eksentrisyys: 1,065
Inklinaatio: 110,4°
Nousevan solmun pituus: 294,5°
Perihelin argumentti: 246,4°
Keskianomalia: -1,0°
Epookki: 2026 JAN 15 01:42:50
orbit plot

Ei-interaktiivinen kuvaaja | Interaktiivinen kuvaaja

position vs time
speed and acceleration

Harestua (HAR) cam1


gnomonic
Videot:
• Gnomoninen
• Gnomoninen koordinaateilla
• Alkuperäinen
• Alkuperäinen koordinaateilla
Kuvat:
• Gnomoninen
• Gnomoninen koordinaateilla
• Alkuperäinen
• Alkuperäinen koordinaateilla
Tekstitiedostot:
• Havaintoraportti
• Observaatio
• Koordinaatit
• Loki
Kirkkaus

Voksenlia (OSL) cam1


gnomonic
Videot:
• Gnomoninen
• Gnomoninen koordinaateilla
• Alkuperäinen
• Alkuperäinen koordinaateilla
Kuvat:
• Gnomoninen
• Gnomoninen koordinaateilla
• Alkuperäinen
• Alkuperäinen koordinaateilla
Tekstitiedostot:
• Havaintoraportti
• Observaatio
• Koordinaatit
• Loki
Kirkkaus