🇳🇴 🇬🇧 🇩🇪 🇨🇿 🇫🇮

Meteor over Myre 2026-01-15 22:32:48 UTC

KML-fil  |  Interaktivt kart

Kartet viser peilingene for meteoren. De lysere linjene viser retningene fra observasjonsstedene for meteorens tilsynekomst, og de mørkere linjene viser hvor den sist kunne sees. Den blå pila viser meteorens synlige ferd.

static map
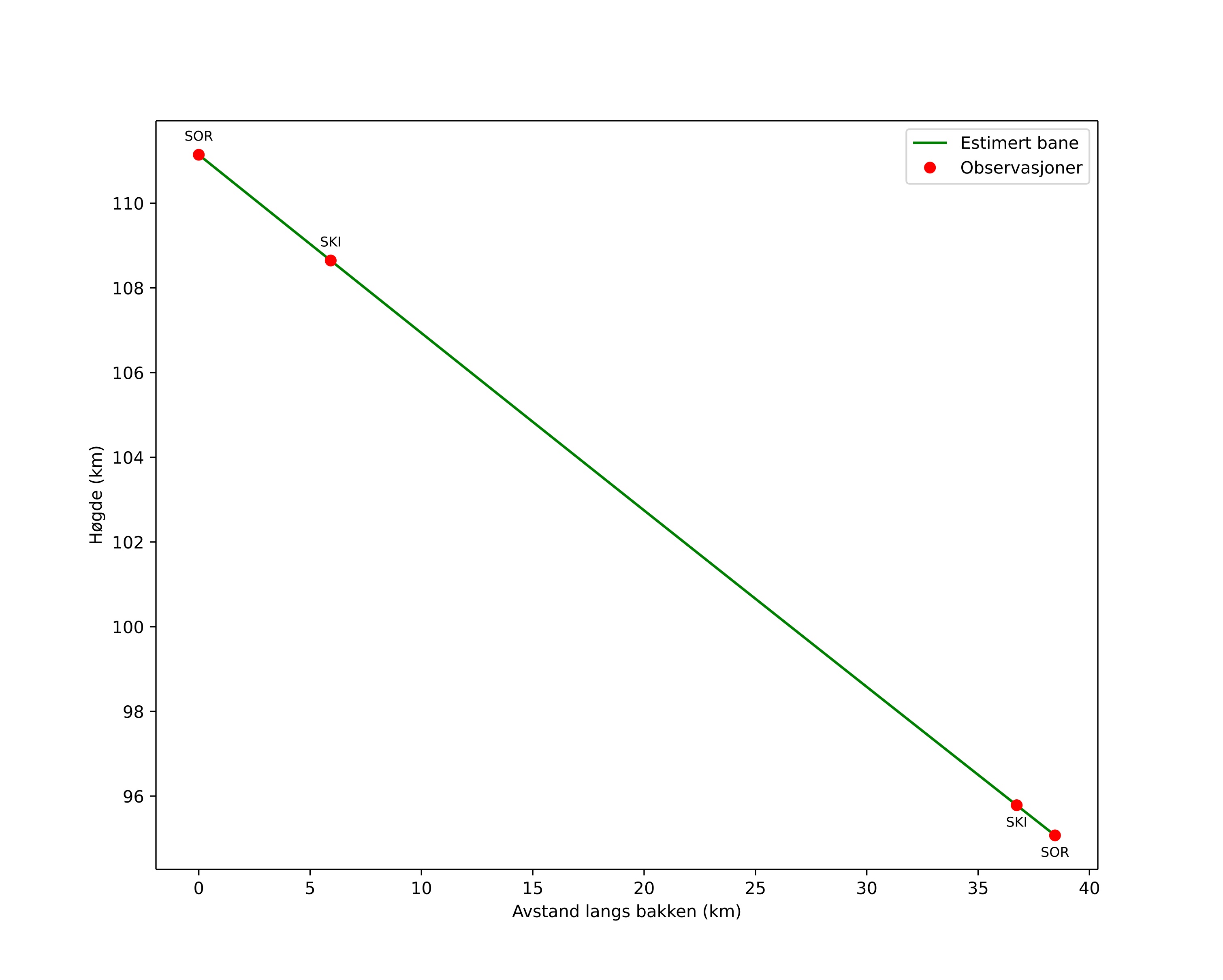
height profile
Meteorens atmosfæriske bane:
Starthøgde: 111,1 km
Slutthøgde: 95,1 km
Startposisjon: 69,161N 16,680E
Sluttposisjon: 69,193N 15,712E
Retning: 275,7°
Fallvinkel: 22,6°
Inngangshastighet: 68,0 km/s
Radiantens rektascensjon: 12:25 (186,3°)
Radiantens deklinasjon: 18,7°
Meteorsverm: desember-leonis-minoridene
Meteoroidens baneelement:
Perihelavstand: 0,596 AU
Eksentrisitet: 1,129
Inklinasjon: 138,8°
Knutelengde: 295,4°
Perihelargument: 255,1°
Midlere anomali: -3,5°
Epoke: 2026 JAN 15 22:32:48
orbit plot

Ikke-interaktivt plott | Interaktivt plott

position vs time
speed and acceleration

Skibotn (SKI) cam5


gnomonic
Videoer
• Gnomonisk
• Gnomonisk med koordinater
• Original
• Original med koordinater
Bilder
• Gnomonisk
• Gnomonisk med koordinater
• Original
• Original med koordinater
Tekstfiler
• Deteksjon
• Observasjon
• Koordinater
• Logg
Lysstyrke

Sorreisa (SOR) cam7


gnomonic
Videoer
• Gnomonisk
• Gnomonisk med koordinater
• Original
• Original med koordinater
Bilder
• Gnomonisk
• Gnomonisk med koordinater
• Original
• Original med koordinater
Tekstfiler
• Deteksjon
• Observasjon
• Koordinater
• Logg
Lysstyrke