🇳🇴 🇬🇧 🇩🇪 🇨🇿 🇫🇮

Meteor over Stange 2026-01-17 03:45:14 UTC

KML-fil  |  Interaktivt kart

Kartet viser peilingene for meteoren. De lysere linjene viser retningene fra observasjonsstedene for meteorens tilsynekomst, og de mørkere linjene viser hvor den sist kunne sees. Den blå pila viser meteorens synlige ferd.

static map
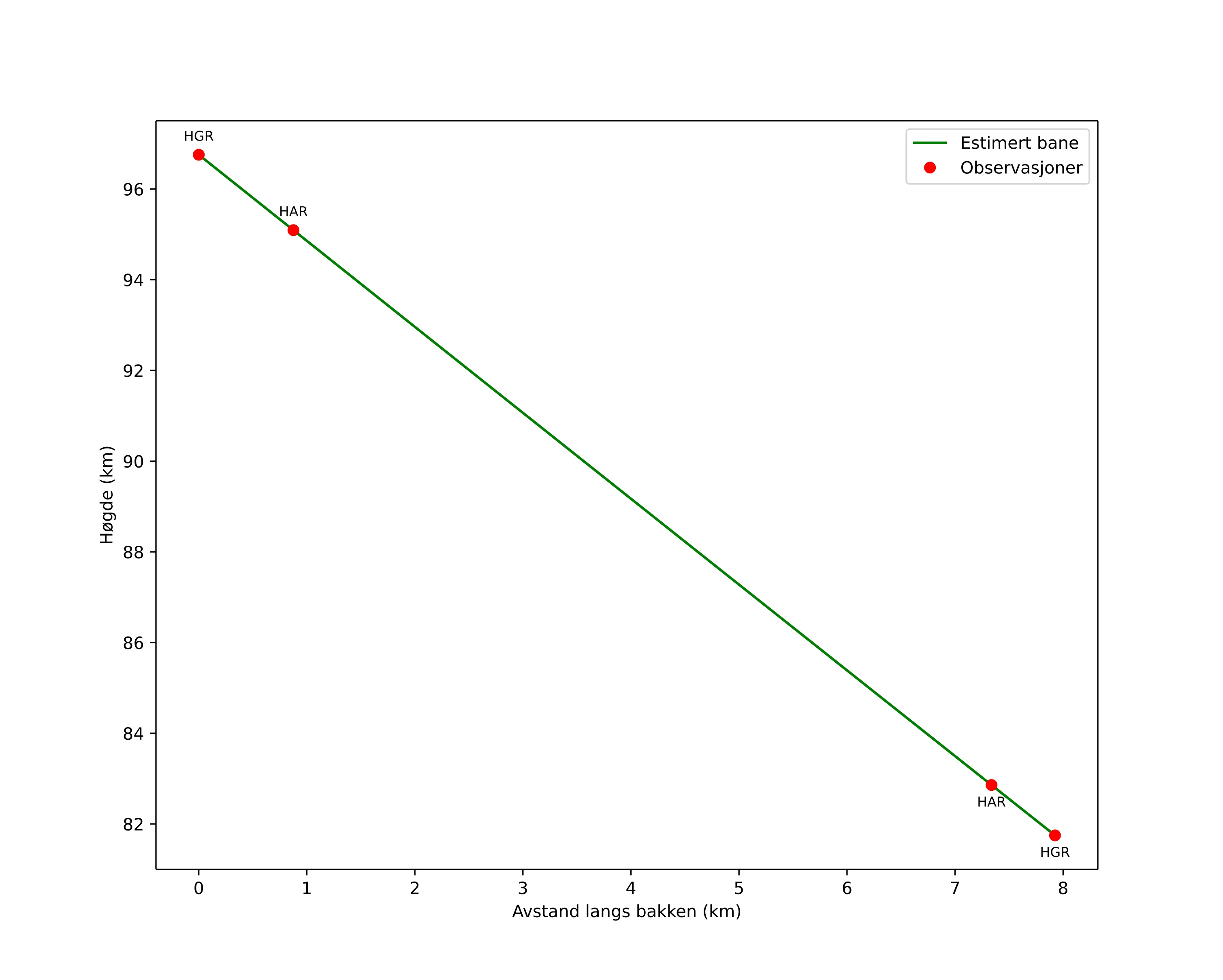
height profile
Meteorens atmosfæriske bane:
Starthøgde: 96,8 km
Slutthøgde: 81,7 km
Startposisjon: 60,500N 11,155E
Sluttposisjon: 60,563N 11,223E
Retning: 27,8°
Fallvinkel: 62,3°
Inngangshastighet: 43,2 km/s
Radiantens rektascensjon: 11:11 (167,8°)
Radiantens deklinasjon: 34,1°
Meteorsverm: sporadisk
Meteoroidens baneelement:
Perihelavstand: 0,235 AU
Eksentrisitet: 0,857
Inklinasjon: 68,8°
Knutelengde: 296,7°
Perihelargument: 310,5°
Midlere anomali: 341,3°
Epoke: 2026 JAN 17 03:45:14
orbit plot

Ikke-interaktivt plott | Interaktivt plott

position vs time
speed and acceleration

Hagar (HGR) cam6


gnomonic
Videoer
• Gnomonisk
• Gnomonisk med koordinater
• Original
• Original med koordinater
Bilder
• Gnomonisk
• Gnomonisk med koordinater
• Original
• Original med koordinater
Tekstfiler
• Deteksjon
• Observasjon
• Koordinater
• Logg
Lysstyrke

Harestua (HAR) cam6


gnomonic
Videoer
• Gnomonisk
• Gnomonisk med koordinater
• Original
• Original med koordinater
Bilder
• Gnomonisk
• Gnomonisk med koordinater
• Original
• Original med koordinater
Tekstfiler
• Deteksjon
• Observasjon
• Koordinater
• Logg
Lysstyrke