🇳🇴 🇬🇧 🇩🇪 🇨🇿 🇫🇮

Meteor Narvikin yllä 2026-01-17 04:30:47 UTC

KML-tiedosto  |  Interaktiivinen kartta

Kartta näyttää meteorin suuntahavainnot. Vaaleammat viivat näyttävät suunnat havaintoasemilta meteorin ilmestyessä, ja tummemmat viivat näyttävät, missä se viimeksi nähtiin. Sininen nuoli näyttää meteorin näkyvän lennon.

static map
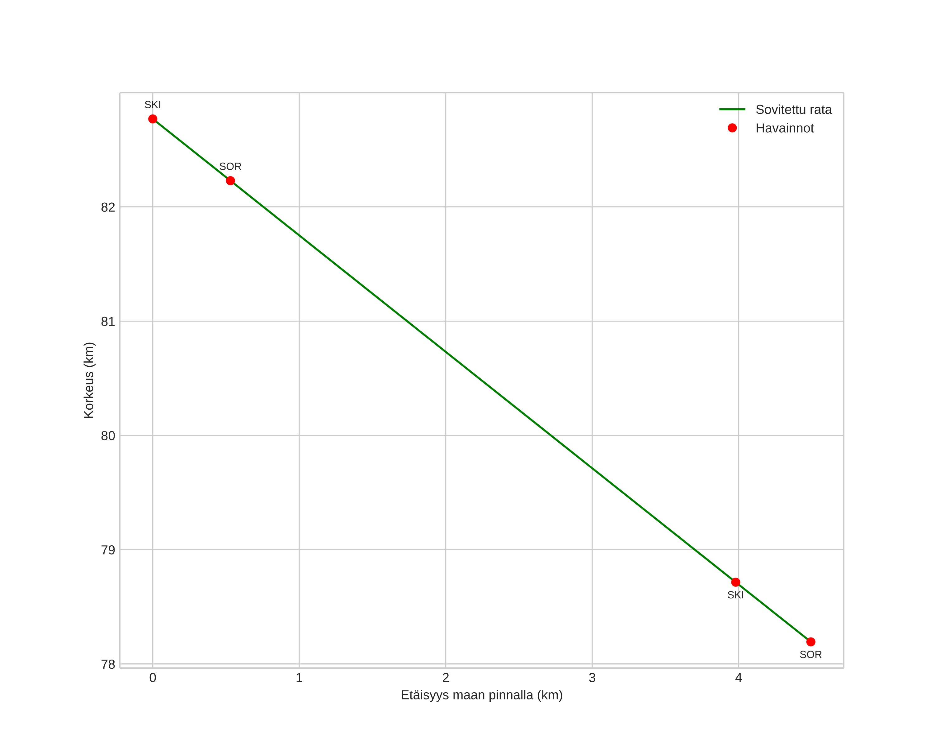
height profile
Meteorin ilmakehärata:
Alkukorkeus: 82,8 km
Loppukorkeus: 78,2 km
Alkupiste: 68,403N 17,454E
Loppupiste: 68,386N 17,553E
Suunta: 115,7°
Kallistuskulma: 45,7°
Tulonopeus: 19,2 km/s
Radiantin R,A,: 07:04 (106,0°)
Radiantin Dekl,: 46,5°
Meteoriparvi: Sporadinen
Meteoroidin rataelementit:
Perihelietäisyys: 0,803 AU
Eksentrisyys: 0,622
Inklinaatio: 10,6°
Nousevan solmun pituus: 296,7°
Perihelin argumentti: 238,7°
Keskianomalia: 347,7°
Epookki: 2026 JAN 17 04:30:47
orbit plot

Ei-interaktiivinen kuvaaja | Interaktiivinen kuvaaja

position vs time
speed and acceleration

Skibotn (SKI) cam4


gnomonic
Videot:
• Gnomoninen
• Gnomoninen koordinaateilla
• Alkuperäinen
• Alkuperäinen koordinaateilla
Kuvat:
• Gnomoninen
• Gnomoninen koordinaateilla
• Alkuperäinen
• Alkuperäinen koordinaateilla
Tekstitiedostot:
• Havaintoraportti
• Observaatio
• Koordinaatit
• Loki
Kirkkaus

Sorreisa (SOR) cam4


gnomonic
Videot:
• Gnomoninen
• Gnomoninen koordinaateilla
• Alkuperäinen
• Alkuperäinen koordinaateilla
Kuvat:
• Gnomoninen
• Gnomoninen koordinaateilla
• Alkuperäinen
• Alkuperäinen koordinaateilla
Tekstitiedostot:
• Havaintoraportti
• Observaatio
• Koordinaatit
• Loki
Kirkkaus