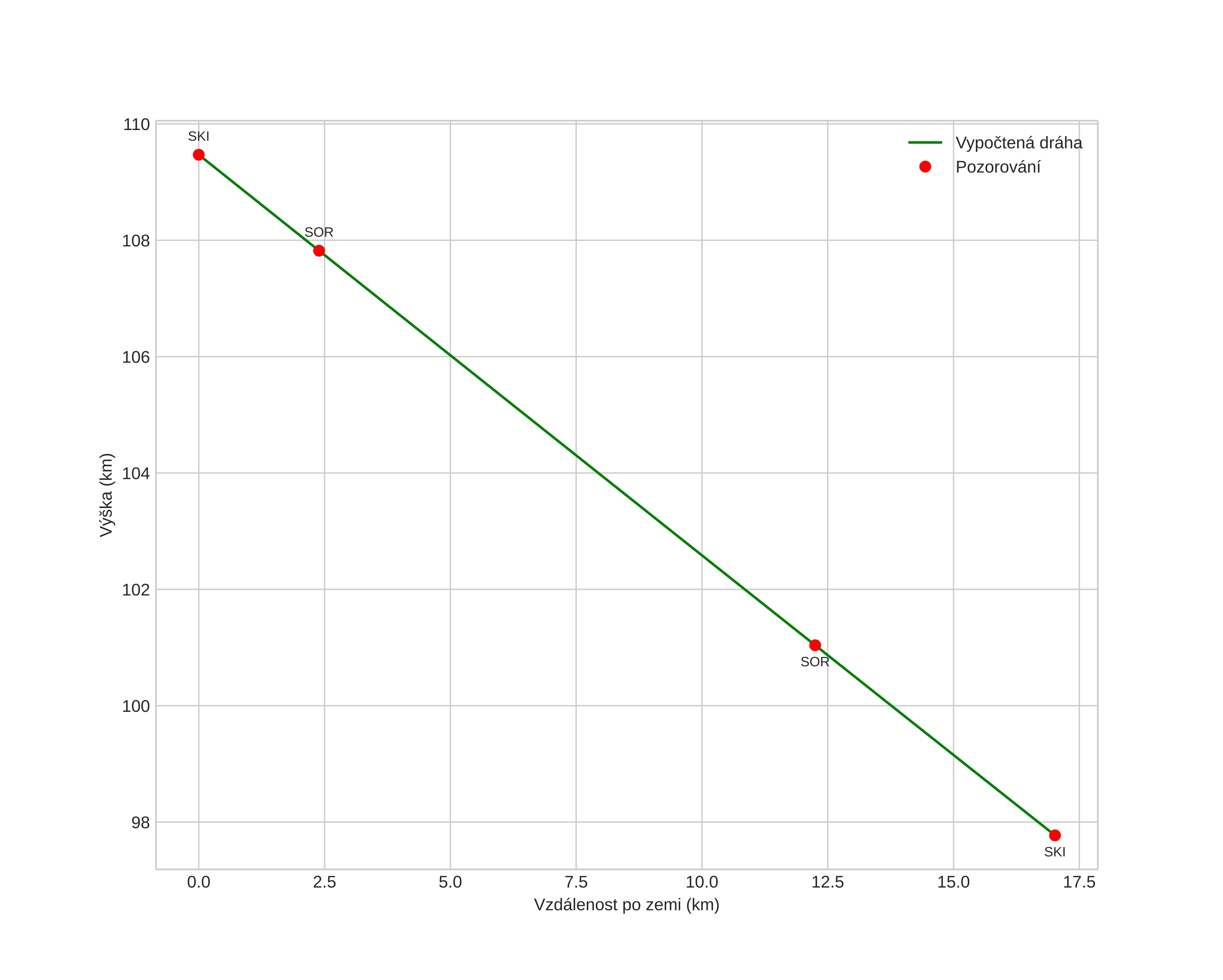
Meteorens atmosfæriske bane:
| Starthøgde: | 109,5 km |
| Slutthøgde: | 97,8 km |
| Startposisjon: | 70,069N 15,508E |
| Sluttposisjon: | 70,188N 15,793E |
| Retning: | 39,1° |
| Fallvinkel: | 34,5° |
| Inngangshastighet: | 73,0 km/s |
| Radiantens rektascensjon: | 12:33 (188,4°) |
| Radiantens deklinasjon: | 18,1° |
| Meteorsverm: | desember-leonis-minoridene |
|
Meteoroidens baneelement:
| Perihelavstand: | 0,673 AU |
| Eksentrisitet: | 1,487 |
| Inklinasjon: | 141,2° |
| Knutelengde: | 296,8° |
| Perihelargument: | 241,8° |
| Midlere anomali: | -17,5° |
| Epoke: | 2026 JAN 17 05:59:53 |
|