🇳🇴 🇬🇧 🇩🇪 🇨🇿 🇫🇮

Meteor over Andenes 2026-01-17 05:59:53 UTC

KML-fil  |  Interaktivt kart

Kartet viser peilingene for meteoren. De lysere linjene viser retningene fra observasjonsstedene for meteorens tilsynekomst, og de mørkere linjene viser hvor den sist kunne sees. Den blå pila viser meteorens synlige ferd.

static map
height profile
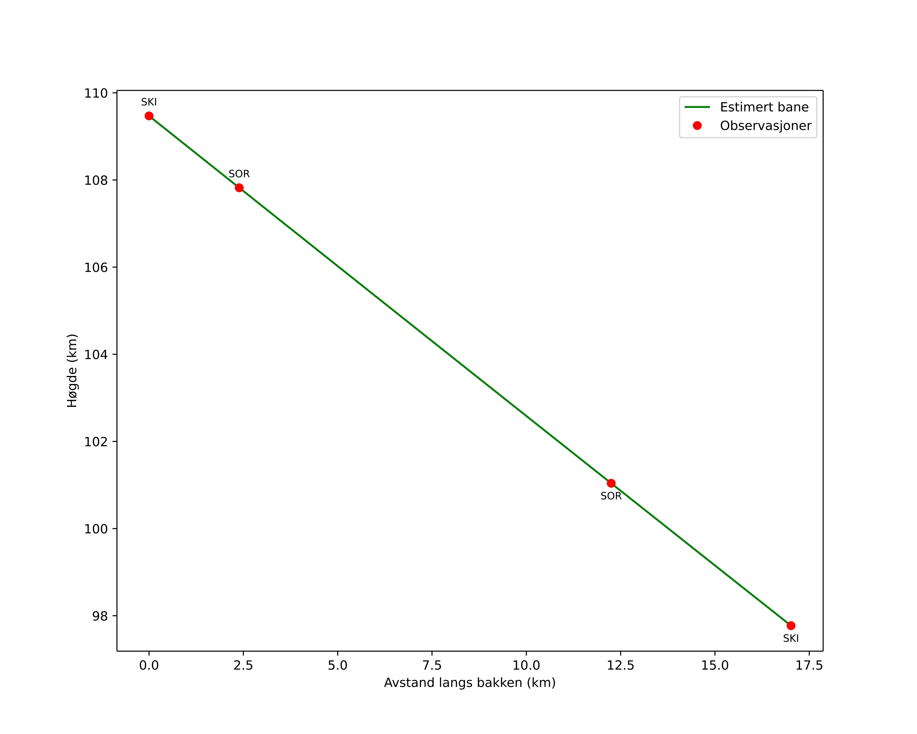
Meteorens atmosfæriske bane:
Starthøgde: 109,5 km
Slutthøgde: 97,8 km
Startposisjon: 70,069N 15,508E
Sluttposisjon: 70,188N 15,793E
Retning: 39,1°
Fallvinkel: 34,5°
Inngangshastighet: 73,0 km/s
Radiantens rektascensjon: 12:33 (188,4°)
Radiantens deklinasjon: 18,1°
Meteorsverm: desember-leonis-minoridene
Meteoroidens baneelement:
Perihelavstand: 0,673 AU
Eksentrisitet: 1,487
Inklinasjon: 141,2°
Knutelengde: 296,8°
Perihelargument: 241,8°
Midlere anomali: -17,5°
Epoke: 2026 JAN 17 05:59:53
orbit plot

Ikke-interaktivt plott | Interaktivt plott

position vs time
speed and acceleration

Skibotn (SKI) cam5


gnomonic
Videoer
• Gnomonisk
• Gnomonisk med koordinater
• Original
• Original med koordinater
Bilder
• Gnomonisk
• Gnomonisk med koordinater
• Original
• Original med koordinater
Tekstfiler
• Deteksjon
• Observasjon
• Koordinater
• Logg
Lysstyrke

Sorreisa (SOR) cam5


gnomonic
Videoer
• Gnomonisk
• Gnomonisk med koordinater
• Original
• Original med koordinater
Bilder
• Gnomonisk
• Gnomonisk med koordinater
• Original
• Original med koordinater
Tekstfiler
• Deteksjon
• Observasjon
• Koordinater
• Logg
Lysstyrke