🇳🇴 🇬🇧 🇩🇪 🇨🇿 🇫🇮

Meteor over Skjærhalden 2026-01-17 06:05:22 UTC

KML-fil  |  Interaktivt kart

Kartet viser peilingene for meteoren. De lysere linjene viser retningene fra observasjonsstedene for meteorens tilsynekomst, og de mørkere linjene viser hvor den sist kunne sees. Den blå pila viser meteorens synlige ferd.

static map
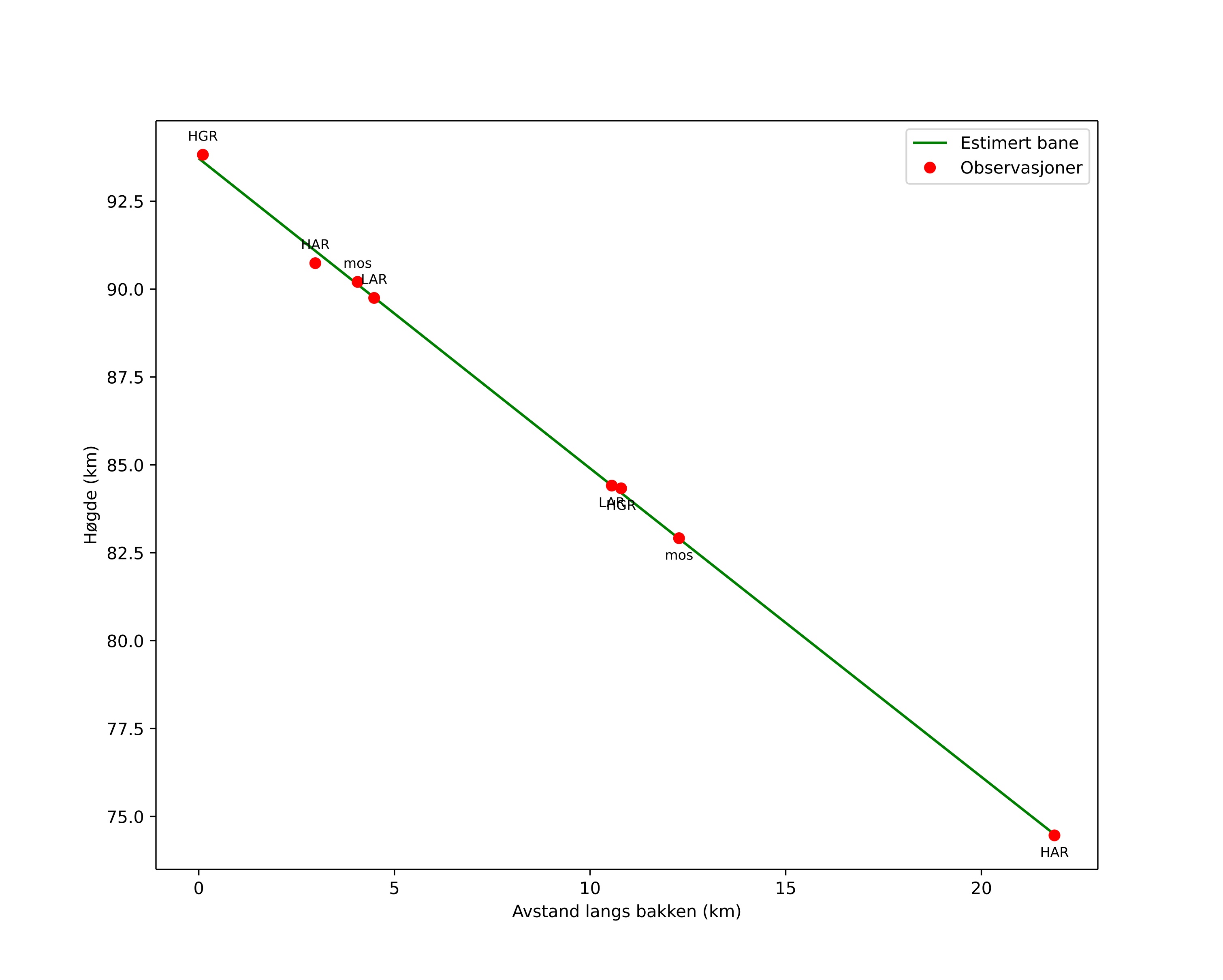
height profile
Meteorens atmosfæriske bane:
Starthøgde: 93,6 km
Slutthøgde: 74,5 km
Startposisjon: 58,665N 10,396E
Sluttposisjon: 58,635N 10,774E
Retning: 98,7°
Fallvinkel: 40,8°
Inngangshastighet: 36,9 km/s
Radiantens rektascensjon: 09:39 (144,8°)
Radiantens deklinasjon: 37,1°
Meteorsverm: sporadisk
Meteoroidens baneelement:
Perihelavstand: 0,332 AU
Eksentrisitet: 0,905
Inklinasjon: 32,9°
Knutelengde: 296,8°
Perihelargument: 293,2°
Midlere anomali: 354,1°
Epoke: 2026 JAN 17 06:05:22
orbit plot

Ikke-interaktivt plott | Interaktivt plott

position vs time
speed and acceleration

Hagar (HGR) cam5


gnomonic
Videoer
• Gnomonisk
• Gnomonisk med koordinater
• Original
• Original med koordinater
Bilder
• Gnomonisk
• Gnomonisk med koordinater
• Original
• Original med koordinater
Tekstfiler
• Deteksjon
• Observasjon
• Koordinater
• Logg
Lysstyrke

Harestua (HAR) cam3


gnomonic
Videoer
• Gnomonisk
• Gnomonisk med koordinater
• Original
• Original med koordinater
Bilder
• Gnomonisk
• Gnomonisk med koordinater
• Original
• Original med koordinater
Tekstfiler
• Deteksjon
• Observasjon
• Koordinater
• Logg
Lysstyrke

Larvik (LAR) cam7


gnomonic
Videoer
• Gnomonisk
• Gnomonisk med koordinater
• Original
• Original med koordinater
Bilder
• Gnomonisk
• Gnomonisk med koordinater
• Original
• Original med koordinater
Tekstfiler
• Deteksjon
• Observasjon
• Koordinater
• Logg
Lysstyrke

Moss (mos) cam7


gnomonic
Videoer
• Gnomonisk
• Gnomonisk med koordinater
• Original
• Original med koordinater
Bilder
• Gnomonisk
• Gnomonisk med koordinater
• Original
• Original med koordinater
Tekstfiler
• Deteksjon
• Observasjon
• Koordinater
• Logg
Lysstyrke