🇳🇴 🇬🇧 🇩🇪 🇨🇿 🇫🇮

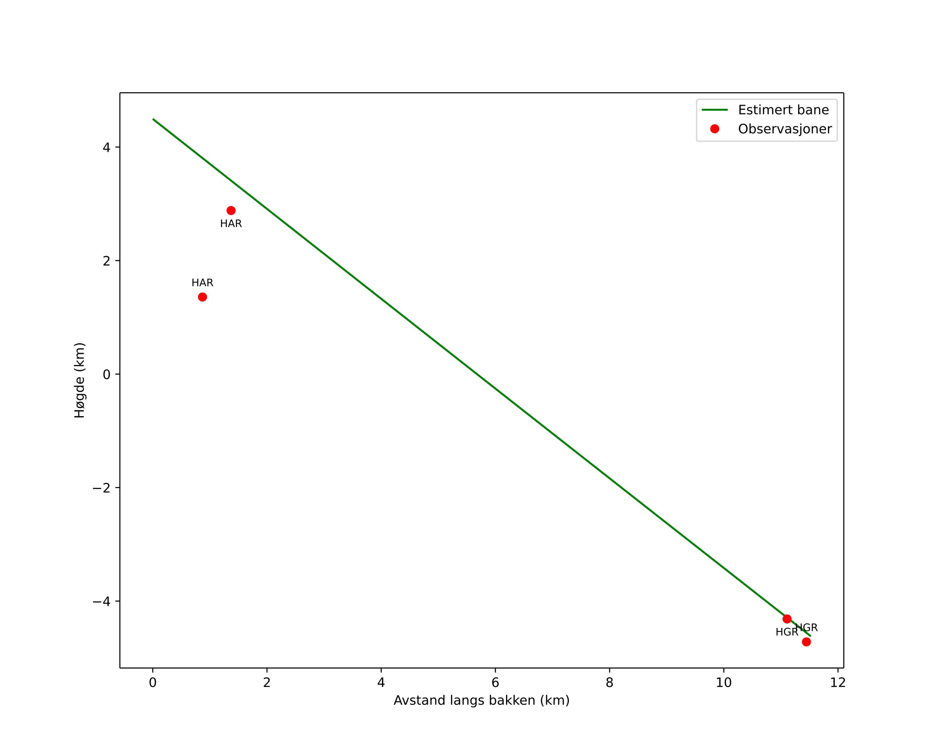
Meteorrapport 2026-01-17 06:30:45 UTC


Hagar (HGR) cam6


gnomonic
Videoer
• Gnomonisk
• Gnomonisk med koordinater
• Original
• Original med koordinater
Bilder
• Gnomonisk
• Gnomonisk med koordinater
• Original
• Original med koordinater
Tekstfiler
• Deteksjon
• Observasjon
• Koordinater
• Logg
Lysstyrke