🇳🇴 🇬🇧 🇩🇪 🇨🇿 🇫🇮

Meteor, poloha: Reinsvoll 2026-01-17 06:30:45 UTC

Soubor KML  |  Interaktivní mapa

Mapa zobrazuje dráhy meteoru. Světlejší čáry ukazují směry od pozorovacích stanic při objevení se meteoru a tmavší čáry, kde byl naposledy viděn. Modrá šipka značí viditelnou dráhu meteoru.

static map
height profile
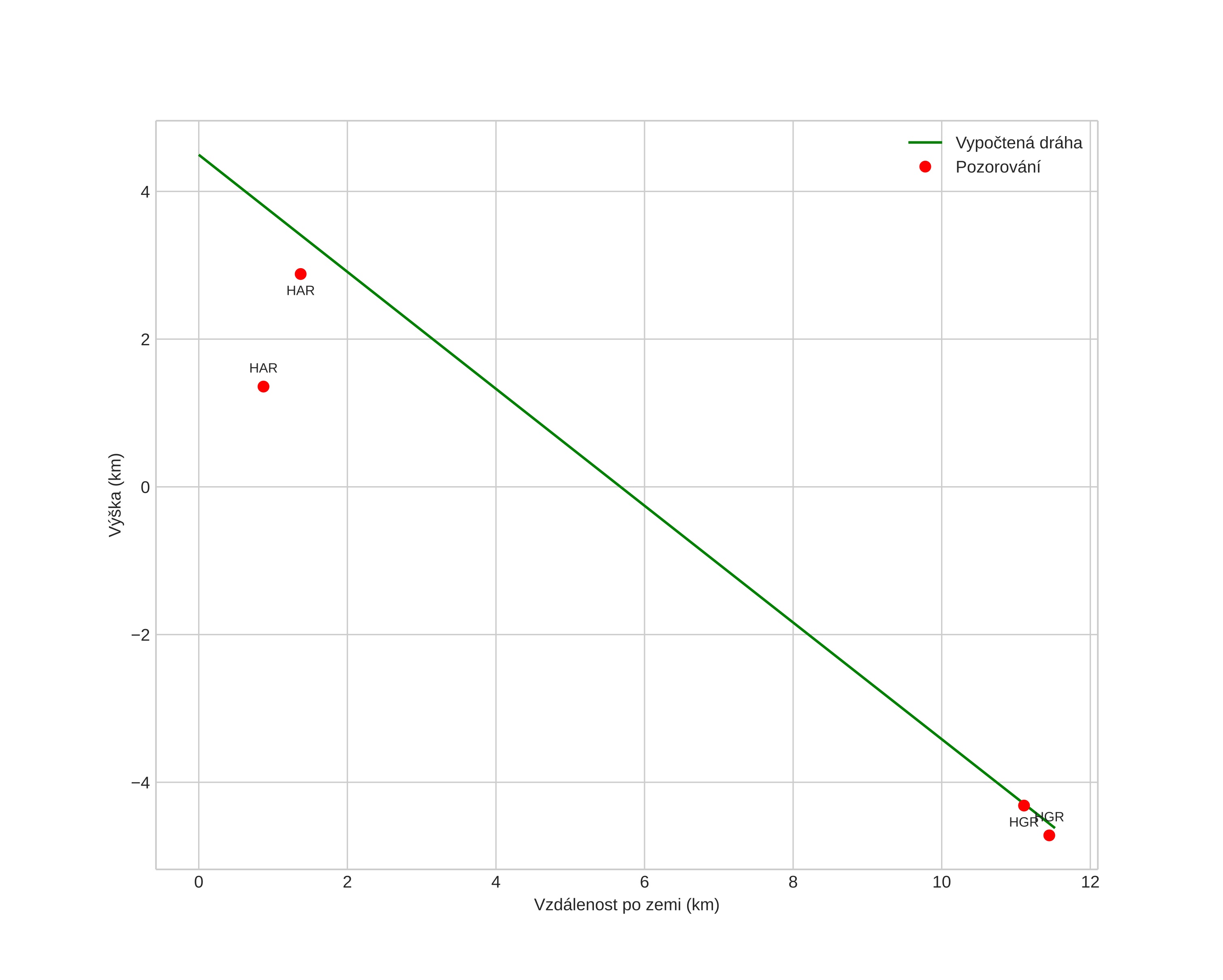
Atmosférická dráha meteoru:
Počáteční výška: 4,5 km
Konečná výška: -4,6 km
Počáteční poloha: 60,544N 10,367E
Konečná poloha: 60,623N 10,504E
Směr: 40,3°
Sklon: 38,3°
position vs time
speed and acceleration