🇳🇴 🇬🇧 🇩🇪 🇨🇿 🇫🇮

Meteor, poloha: Sørreisa 2026-01-19 03:45:20 UTC

Soubor KML  |  Interaktivní mapa

Mapa zobrazuje dráhy meteoru. Světlejší čáry ukazují směry od pozorovacích stanic při objevení se meteoru a tmavší čáry, kde byl naposledy viděn. Modrá šipka značí viditelnou dráhu meteoru.

static map
height profile
wind profile
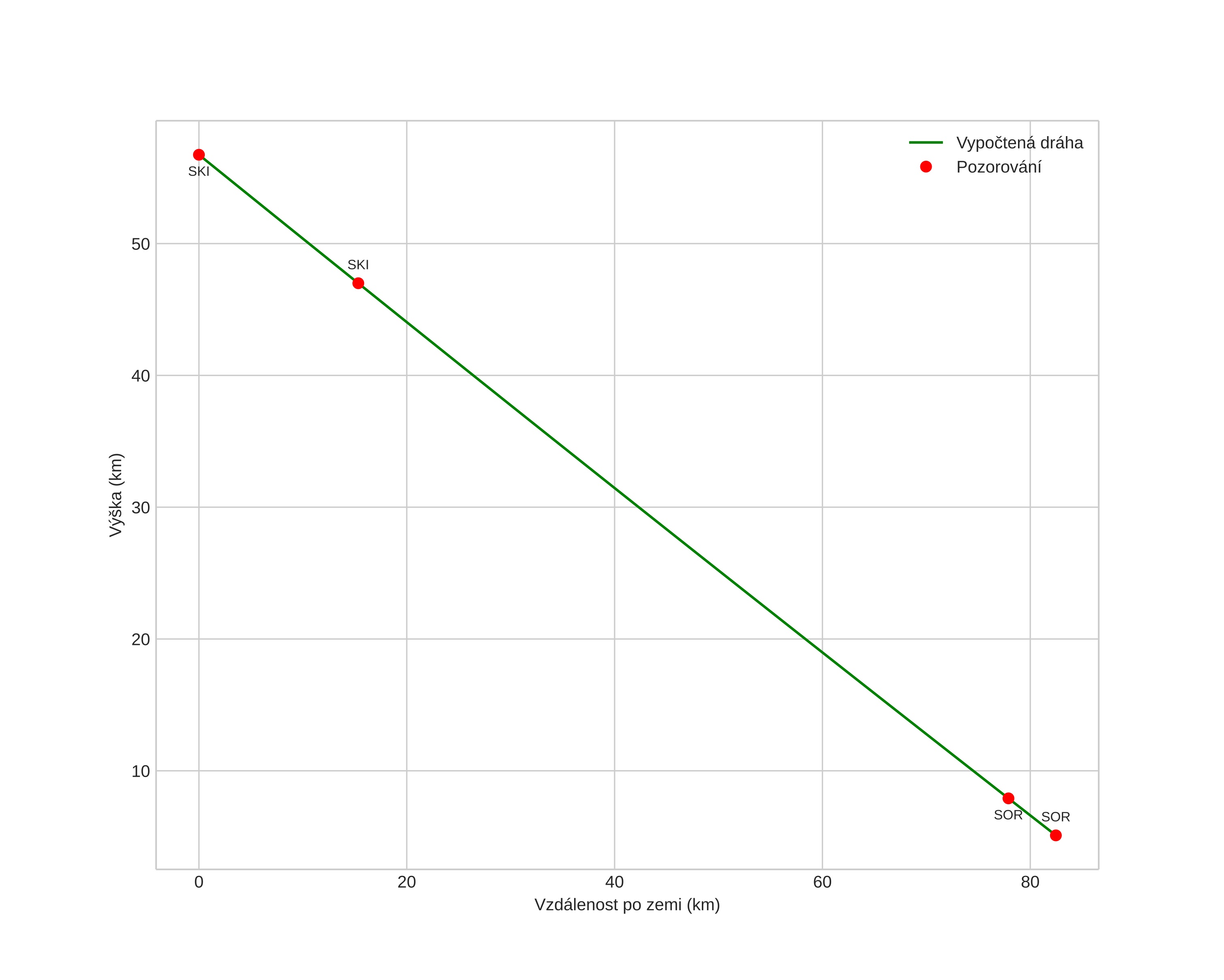
Atmosférická dráha meteoru:
Počáteční výška: 56,7 km
Konečná výška: 5,1 km
Počáteční poloha: 69,169N 20,265E
Konečná poloha: 69,134N 18,183E
Směr: 268,2°
Sklon: 32,0°
orbit plot

Neinteraktivní graf | Interaktivní graf

position vs time
speed and acceleration