🇳🇴 🇬🇧 🇩🇪 🇨🇿 🇫🇮

Meteor Skjervøyn yllä 2026-01-19 06:06:32 UTC

KML-tiedosto  |  Interaktiivinen kartta

Kartta näyttää meteorin suuntahavainnot. Vaaleammat viivat näyttävät suunnat havaintoasemilta meteorin ilmestyessä, ja tummemmat viivat näyttävät, missä se viimeksi nähtiin. Sininen nuoli näyttää meteorin näkyvän lennon.

static map
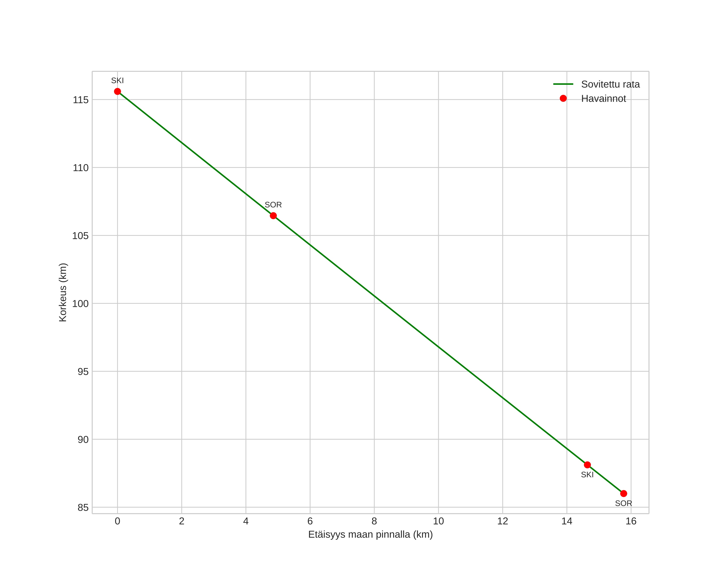
height profile
Meteorin ilmakehärata:
Alkukorkeus: 115,6 km
Loppukorkeus: 86,0 km
Alkupiste: 70,582N 20,118E
Loppupiste: 70,677N 20,436E
Suunta: 47,9°
Kallistuskulma: 61,9°
Tulonopeus: 51,5 km/s
Radiantin R,A,: 13:16 (199,1°)
Radiantin Dekl,: 46,4°
Meteoriparvi: Sporadinen
Meteoroidin rataelementit:
Perihelietäisyys: 0,786 AU
Eksentrisyys: 1,017
Inklinaatio: 84,8°
Nousevan solmun pituus: 298,8°
Perihelin argumentti: 233,1°
Keskianomalia: -0,1°
Epookki: 2026 JAN 19 06:06:32
orbit plot

Ei-interaktiivinen kuvaaja | Interaktiivinen kuvaaja

position vs time
speed and acceleration

Skibotn (SKI) cam1


gnomonic
Videot:
• Gnomoninen
• Gnomoninen koordinaateilla
• Alkuperäinen
• Alkuperäinen koordinaateilla
Kuvat:
• Gnomoninen
• Gnomoninen koordinaateilla
• Alkuperäinen
• Alkuperäinen koordinaateilla
Tekstitiedostot:
• Havaintoraportti
• Observaatio
• Koordinaatit
• Loki
Kirkkaus

Sorreisa (SOR) cam1


gnomonic
Videot:
• Gnomoninen
• Gnomoninen koordinaateilla
• Alkuperäinen
• Alkuperäinen koordinaateilla
Kuvat:
• Gnomoninen
• Gnomoninen koordinaateilla
• Alkuperäinen
• Alkuperäinen koordinaateilla
Tekstitiedostot:
• Havaintoraportti
• Observaatio
• Koordinaatit
• Loki
Kirkkaus