🇳🇴 🇬🇧 🇩🇪 🇨🇿 🇫🇮

Meteor Bruhagenin yllä 2026-01-20 01:45:54 UTC

KML-tiedosto  |  Interaktiivinen kartta

Kartta näyttää meteorin suuntahavainnot. Vaaleammat viivat näyttävät suunnat havaintoasemilta meteorin ilmestyessä, ja tummemmat viivat näyttävät, missä se viimeksi nähtiin. Sininen nuoli näyttää meteorin näkyvän lennon.

static map
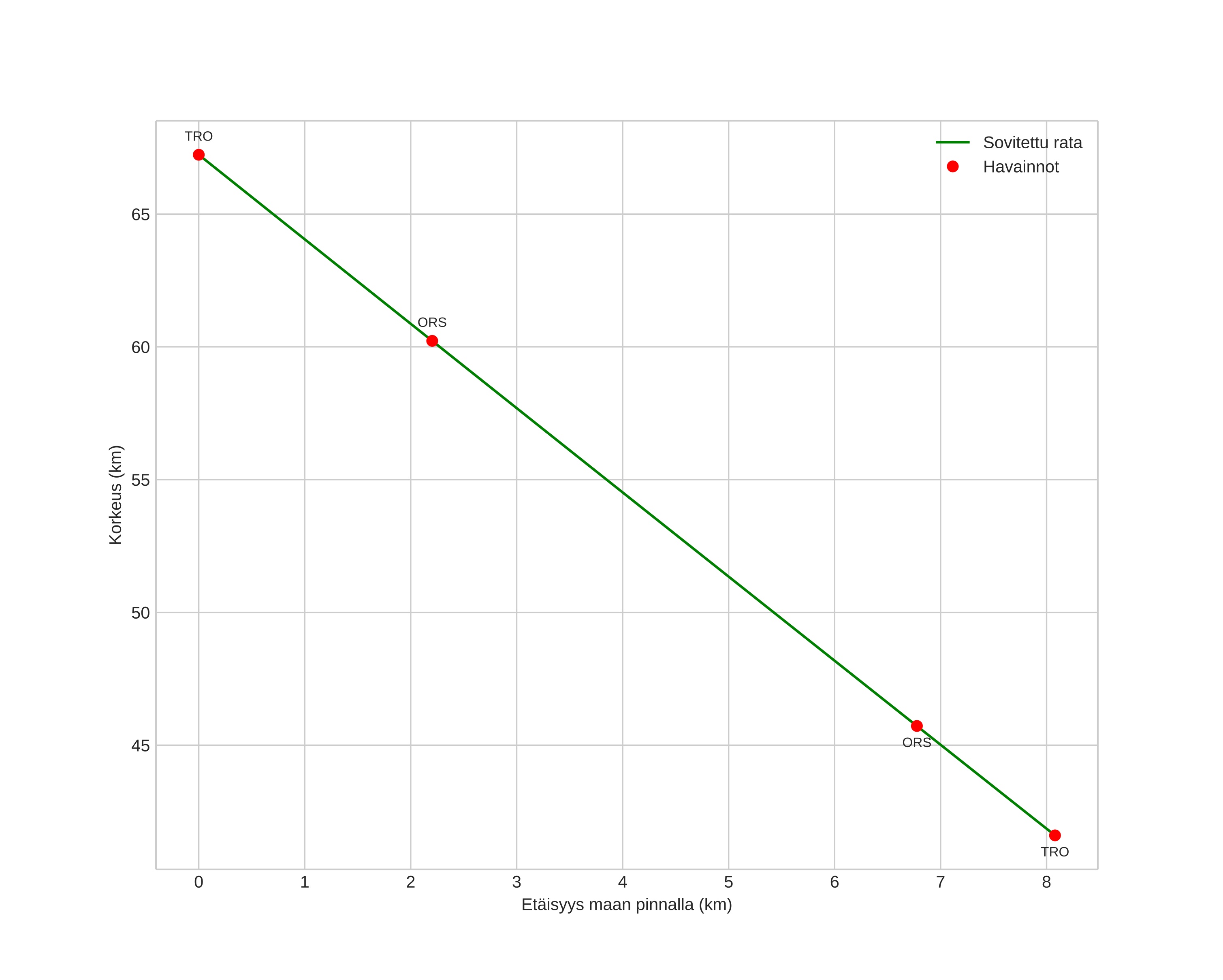
height profile
Meteorin ilmakehärata:
Alkukorkeus: 67,2 km
Loppukorkeus: 41,6 km
Alkupiste: 63,629N 6,999E
Loppupiste: 63,616N 7,160E
Suunta: 100,3°
Kallistuskulma: 72,5°
Tulonopeus: 21,6 km/s
Radiantin R,A,: 07:22 (110,7°)
Radiantin Dekl,: 60,5°
Meteoriparvi: Sporadinen
Meteoroidin rataelementit:
Perihelietäisyys: 0,835 AU
Eksentrisyys: 0,730
Inklinaatio: 18,3°
Nousevan solmun pituus: 299,6°
Perihelin argumentti: 230,2°
Keskianomalia: 354,0°
Epookki: 2026 JAN 20 01:45:54
orbit plot

Ei-interaktiivinen kuvaaja | Interaktiivinen kuvaaja

position vs time
speed and acceleration

Orsta (ORS) cam5


gnomonic
Videot:
• Gnomoninen
• Gnomoninen koordinaateilla
• Alkuperäinen
• Alkuperäinen koordinaateilla
Kuvat:
• Gnomoninen
• Gnomoninen koordinaateilla
• Alkuperäinen
• Alkuperäinen koordinaateilla
Tekstitiedostot:
• Havaintoraportti
• Observaatio
• Koordinaatit
• Loki
Kirkkaus

Trondheim (TRO) cam4


gnomonic
Videot:
• Gnomoninen
• Gnomoninen koordinaateilla
• Alkuperäinen
• Alkuperäinen koordinaateilla
Kuvat:
• Gnomoninen
• Gnomoninen koordinaateilla
• Alkuperäinen
• Alkuperäinen koordinaateilla
Tekstitiedostot:
• Havaintoraportti
• Observaatio
• Koordinaatit
• Loki
Kirkkaus