🇳🇴 🇬🇧 🇩🇪 🇨🇿 🇫🇮

Meteor, poloha: Kautokeino 2026-01-21 03:16:37 UTC

Soubor KML  |  Interaktivní mapa

Mapa zobrazuje dráhy meteoru. Světlejší čáry ukazují směry od pozorovacích stanic při objevení se meteoru a tmavší čáry, kde byl naposledy viděn. Modrá šipka značí viditelnou dráhu meteoru.

static map
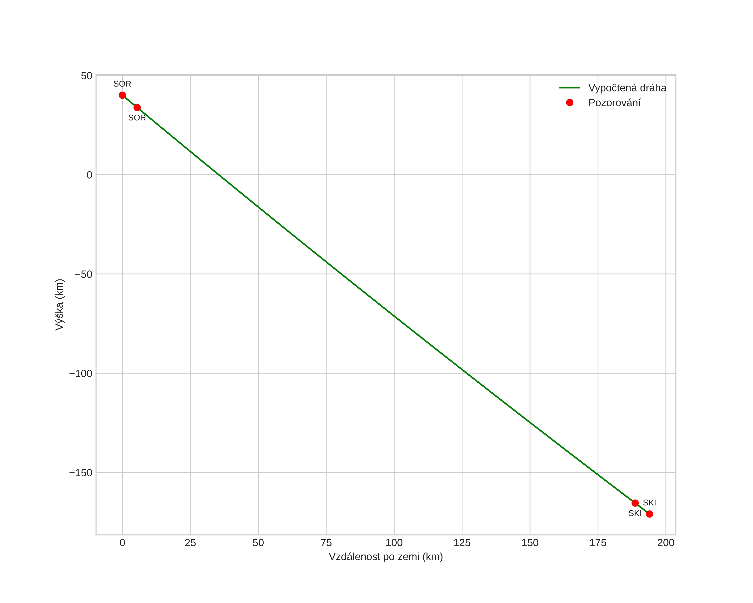
height profile
Atmosférická dráha meteoru:
Počáteční výška: 40,0 km
Konečná výška: -170,9 km
Počáteční poloha: 69,056N 18,527E
Konečná poloha: 68,827N 23,342E
Směr: 95,3°
Sklon: 47,4°
Vstupní rychlost: 0,2 km/s
position vs time
speed and acceleration