🇳🇴 🇬🇧 🇩🇪 🇨🇿 🇫🇮

Meteor Sørreisan yllä 2026-01-21 17:06:12 UTC

KML-tiedosto  |  Interaktiivinen kartta

Kartta näyttää meteorin suuntahavainnot. Vaaleammat viivat näyttävät suunnat havaintoasemilta meteorin ilmestyessä, ja tummemmat viivat näyttävät, missä se viimeksi nähtiin. Sininen nuoli näyttää meteorin näkyvän lennon.

static map
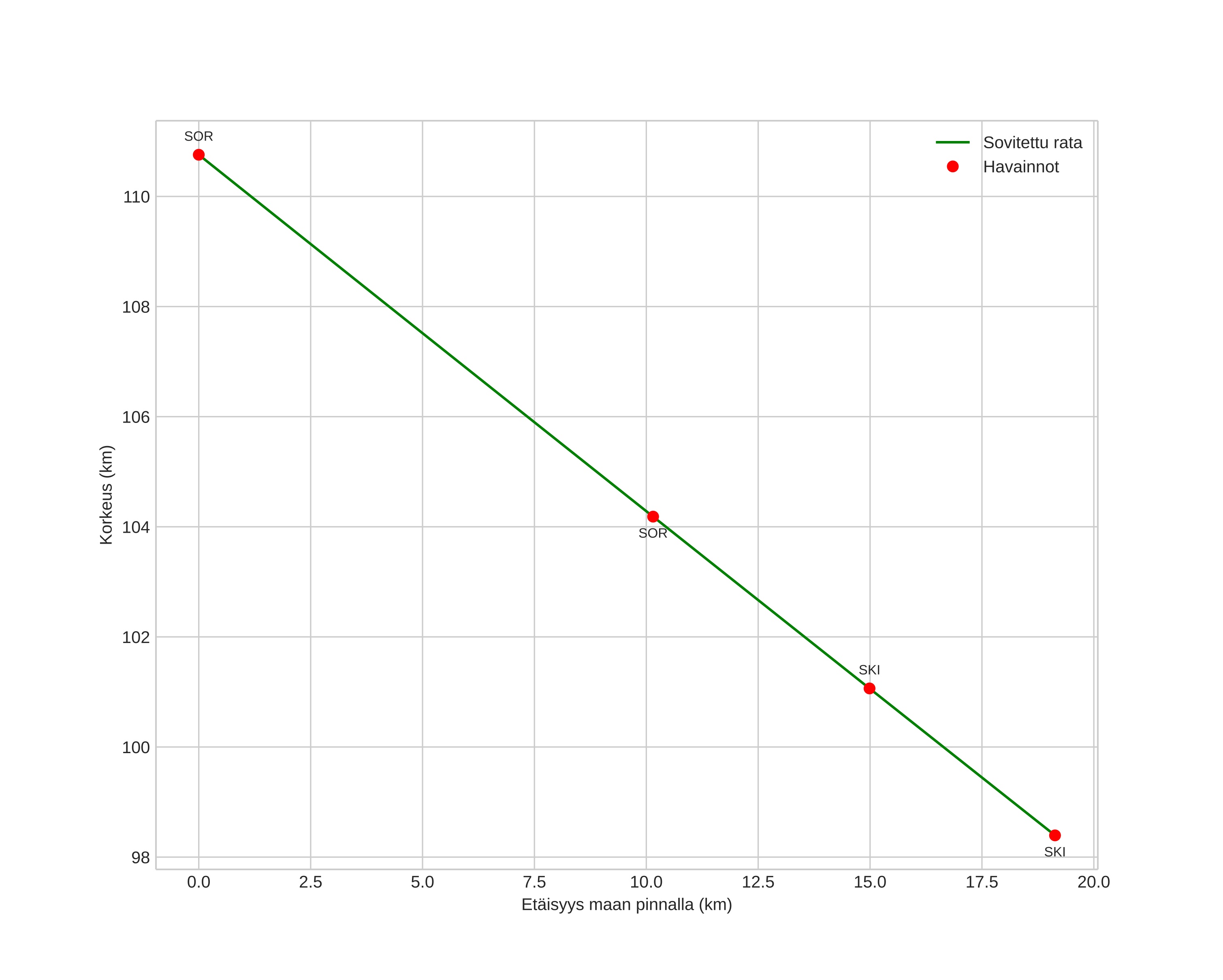
height profile
Meteorin ilmakehärata:
Alkukorkeus: 110,8 km
Loppukorkeus: 98,4 km
Alkupiste: 69,508N 18,790E
Loppupiste: 69,478N 18,306E
Suunta: 260,1°
Kallistuskulma: 32,9°
Tulonopeus: 23,8 km/s
Radiantin R,A,: 08:15 (123,9°)
Radiantin Dekl,: 30,8°
Meteoriparvi: Sporadinen
Meteoroidin rataelementit:
Perihelietäisyys: 0,624 AU
Eksentrisyys: 0,713
Inklinaatio: 7,2°
Nousevan solmun pituus: 301,3°
Perihelin argumentti: 263,1°
Keskianomalia: 346,3°
Epookki: 2026 JAN 21 17:06:12
orbit plot

Ei-interaktiivinen kuvaaja | Interaktiivinen kuvaaja

position vs time
speed and acceleration

Skibotn (SKI) cam6


gnomonic
Videot:
• Gnomoninen
• Gnomoninen koordinaateilla
• Alkuperäinen
• Alkuperäinen koordinaateilla
Kuvat:
• Gnomoninen
• Gnomoninen koordinaateilla
• Alkuperäinen
• Alkuperäinen koordinaateilla
Tekstitiedostot:
• Havaintoraportti
• Observaatio
• Koordinaatit
• Loki
Kirkkaus

Sorreisa (SOR) cam6


gnomonic
Videot:
• Gnomoninen
• Gnomoninen koordinaateilla
• Alkuperäinen
• Alkuperäinen koordinaateilla
Kuvat:
• Gnomoninen
• Gnomoninen koordinaateilla
• Alkuperäinen
• Alkuperäinen koordinaateilla
Tekstitiedostot:
• Havaintoraportti
• Observaatio
• Koordinaatit
• Loki
Kirkkaus