🇳🇴 🇬🇧 🇩🇪 🇨🇿 🇫🇮

Meteor Borkenesin yllä 2026-01-23 03:52:42 UTC

KML-tiedosto  |  Interaktiivinen kartta

Kartta näyttää meteorin suuntahavainnot. Vaaleammat viivat näyttävät suunnat havaintoasemilta meteorin ilmestyessä, ja tummemmat viivat näyttävät, missä se viimeksi nähtiin. Sininen nuoli näyttää meteorin näkyvän lennon.

static map
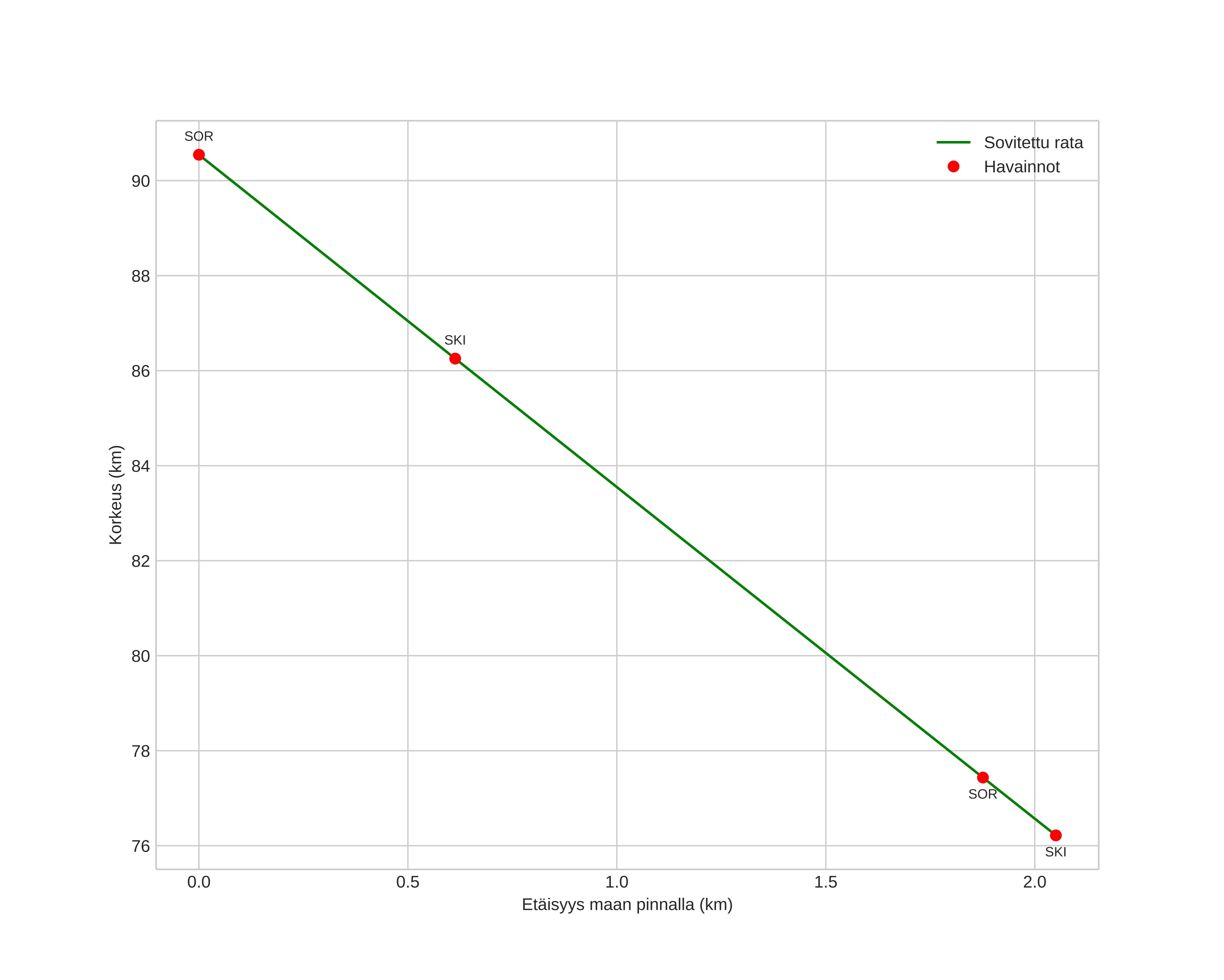
height profile
Meteorin ilmakehärata:
Alkukorkeus: 90,5 km
Loppukorkeus: 76,2 km
Alkupiste: 68,689N 16,142E
Loppupiste: 68,690N 16,192E
Suunta: 85,1°
Kallistuskulma: 81,8°
Tulonopeus: 35,6 km/s
Radiantin R,A,: 11:38 (174,5°)
Radiantin Dekl,: 66,4°
Meteoriparvi: Sporadinen
Meteoroidin rataelementit:
Perihelietäisyys: 0,799 AU
Eksentrisyys: 1,010
Inklinaatio: 46,8°
Nousevan solmun pituus: 302,8°
Perihelin argumentti: 231,2°
Keskianomalia: -0,0°
Epookki: 2026 JAN 23 03:52:42
orbit plot

Ei-interaktiivinen kuvaaja | Interaktiivinen kuvaaja

position vs time
speed and acceleration

Skibotn (SKI) cam5


gnomonic
Videot:
• Gnomoninen
• Gnomoninen koordinaateilla
• Alkuperäinen
• Alkuperäinen koordinaateilla
Kuvat:
• Gnomoninen
• Gnomoninen koordinaateilla
• Alkuperäinen
• Alkuperäinen koordinaateilla
Tekstitiedostot:
• Havaintoraportti
• Observaatio
• Koordinaatit
• Loki
Kirkkaus

Sorreisa (SOR) cam7


gnomonic
Videot:
• Gnomoninen
• Gnomoninen koordinaateilla
• Alkuperäinen
• Alkuperäinen koordinaateilla
Kuvat:
• Gnomoninen
• Gnomoninen koordinaateilla
• Alkuperäinen
• Alkuperäinen koordinaateilla
Tekstitiedostot:
• Havaintoraportti
• Observaatio
• Koordinaatit
• Loki
Kirkkaus