🇳🇴 🇬🇧 🇩🇪 🇨🇿 🇫🇮

Meteor Rognanin yllä 2026-01-23 22:49:09 UTC

KML-tiedosto  |  Interaktiivinen kartta

Kartta näyttää meteorin suuntahavainnot. Vaaleammat viivat näyttävät suunnat havaintoasemilta meteorin ilmestyessä, ja tummemmat viivat näyttävät, missä se viimeksi nähtiin. Sininen nuoli näyttää meteorin näkyvän lennon.

static map
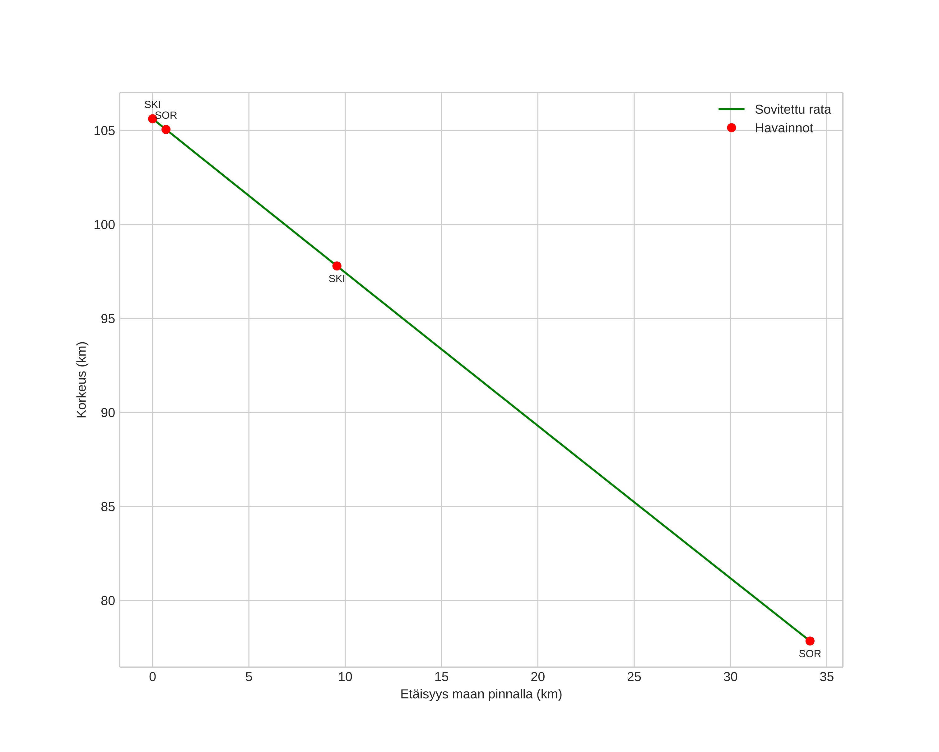
height profile
Meteorin ilmakehärata:
Alkukorkeus: 105,6 km
Loppukorkeus: 77,8 km
Alkupiste: 66,480N 15,773E
Loppupiste: 66,731N 15,327E
Suunta: 325,0°
Kallistuskulma: 39,2°
Tulonopeus: 65,0 km/s
Radiantin R,A,: 09:55 (148,9°)
Radiantin Dekl,: 18,7°
Meteoriparvi: Sporadinen
Meteoroidin rataelementit:
Perihelietäisyys: 0,050 AU
Eksentrisyys: 1,102
Inklinaatio: 40,5°
Nousevan solmun pituus: 303,6°
Perihelin argumentti: 324,1°
Keskianomalia: -65,1°
Epookki: 2026 JAN 23 22:49:09
orbit plot

Ei-interaktiivinen kuvaaja | Interaktiivinen kuvaaja

position vs time
speed and acceleration

Skibotn (SKI) cam4


gnomonic
Videot:
• Gnomoninen
• Gnomoninen koordinaateilla
• Alkuperäinen
• Alkuperäinen koordinaateilla
Kuvat:
• Gnomoninen
• Gnomoninen koordinaateilla
• Alkuperäinen
• Alkuperäinen koordinaateilla
Tekstitiedostot:
• Havaintoraportti
• Observaatio
• Koordinaatit
• Loki
Kirkkaus

Sorreisa (SOR) cam4


gnomonic
Videot:
• Gnomoninen
• Gnomoninen koordinaateilla
• Alkuperäinen
• Alkuperäinen koordinaateilla
Kuvat:
• Gnomoninen
• Gnomoninen koordinaateilla
• Alkuperäinen
• Alkuperäinen koordinaateilla
Tekstitiedostot:
• Havaintoraportti
• Observaatio
• Koordinaatit
• Loki
Kirkkaus