🇳🇴 🇬🇧 🇩🇪 🇨🇿 🇫🇮

Meteor Råholtin yllä 2026-01-26 05:06:46 UTC

KML-tiedosto  |  Interaktiivinen kartta

Kartta näyttää meteorin suuntahavainnot. Vaaleammat viivat näyttävät suunnat havaintoasemilta meteorin ilmestyessä, ja tummemmat viivat näyttävät, missä se viimeksi nähtiin. Sininen nuoli näyttää meteorin näkyvän lennon.

static map
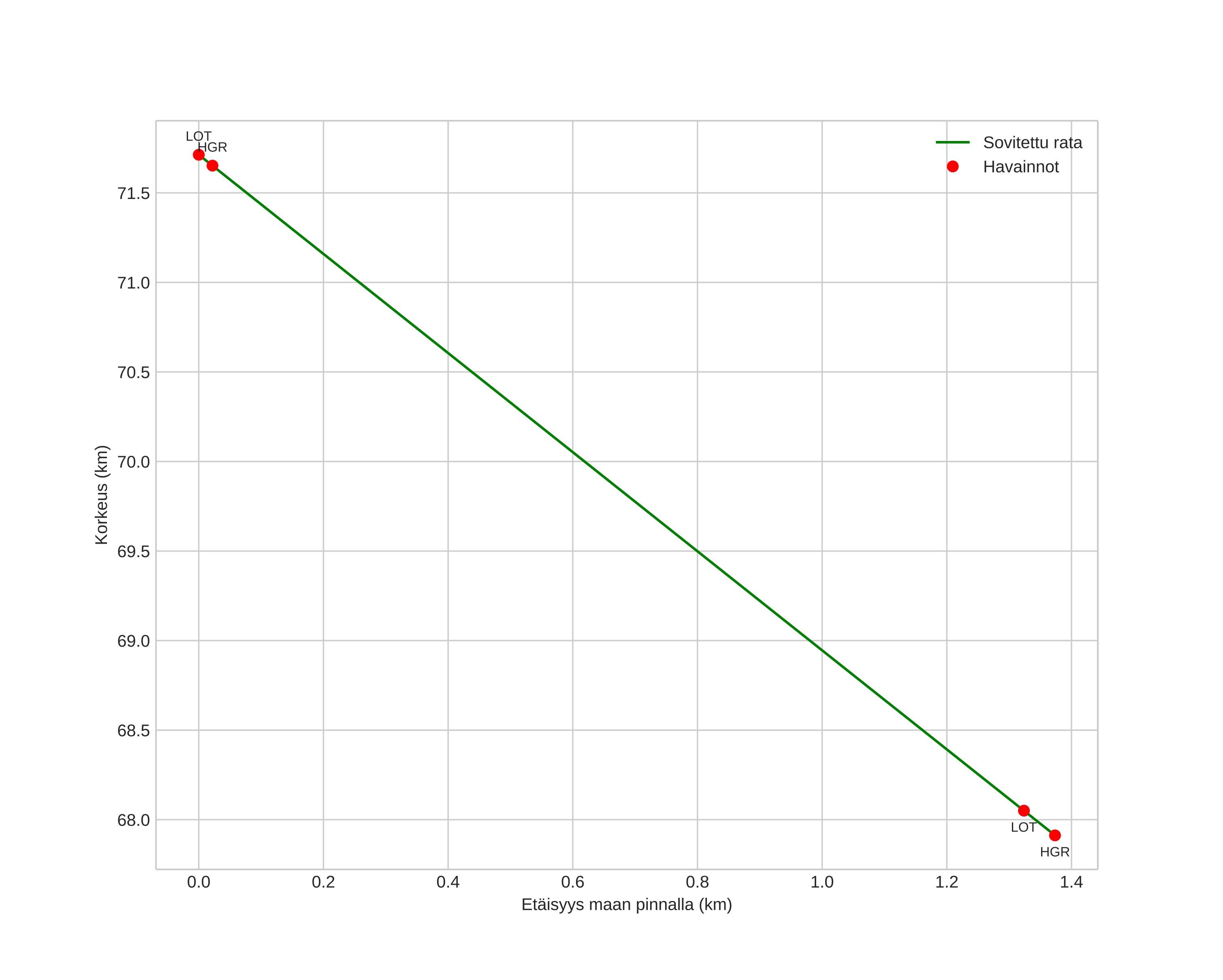
height profile
Meteorin ilmakehärata:
Alkukorkeus: 72,4 km
Loppukorkeus: 67,7 km
Alkupiste: 60,340N 11,195E
Loppupiste: 60,322N 11,197E
Suunta: 176,1°
Kallistuskulma: 67,8°
Tulonopeus: 15,6 km/s
Radiantin R,A,: 11:43 (175,8°)
Radiantin Dekl,: 85,6°
Meteoriparvi: Sporadinen
Meteoroidin rataelementit:
Perihelietäisyys: 0,956 AU
Eksentrisyys: 0,295
Inklinaatio: 17,2°
Nousevan solmun pituus: 305,9°
Perihelin argumentti: 209,3°
Keskianomalia: 344,4°
Epookki: 2026 JAN 26 05:06:46
orbit plot

Ei-interaktiivinen kuvaaja | Interaktiivinen kuvaaja

position vs time
speed and acceleration

Hagar (HGR) cam6


gnomonic
Videot:
• Gnomoninen
• Gnomoninen koordinaateilla
• Alkuperäinen
• Alkuperäinen koordinaateilla
Kuvat:
• Gnomoninen
• Gnomoninen koordinaateilla
• Alkuperäinen
• Alkuperäinen koordinaateilla
Tekstitiedostot:
• Havaintoraportti
• Observaatio
• Koordinaatit
• Loki
Kirkkaus

Loten (LOT) cam7


gnomonic
Videot:
• Gnomoninen
• Gnomoninen koordinaateilla
• Alkuperäinen
• Alkuperäinen koordinaateilla
Kuvat:
• Gnomoninen
• Gnomoninen koordinaateilla
• Alkuperäinen
• Alkuperäinen koordinaateilla
Tekstitiedostot:
• Havaintoraportti
• Observaatio
• Koordinaatit
• Loki
Kirkkaus