🇳🇴 🇬🇧 🇩🇪 🇨🇿 🇫🇮

Meteor, poloha: Tolga 2026-01-27 03:28:13 UTC

Soubor KML  |  InteraktivnĂ­ mapa

Mapa zobrazuje dráhy meteoru. Světlejší čáry ukazují směry od pozorovacích stanic při objevení se meteoru a tmavší čáry, kde byl naposledy viděn. Modrá šipka značí viditelnou dráhu meteoru.

static map
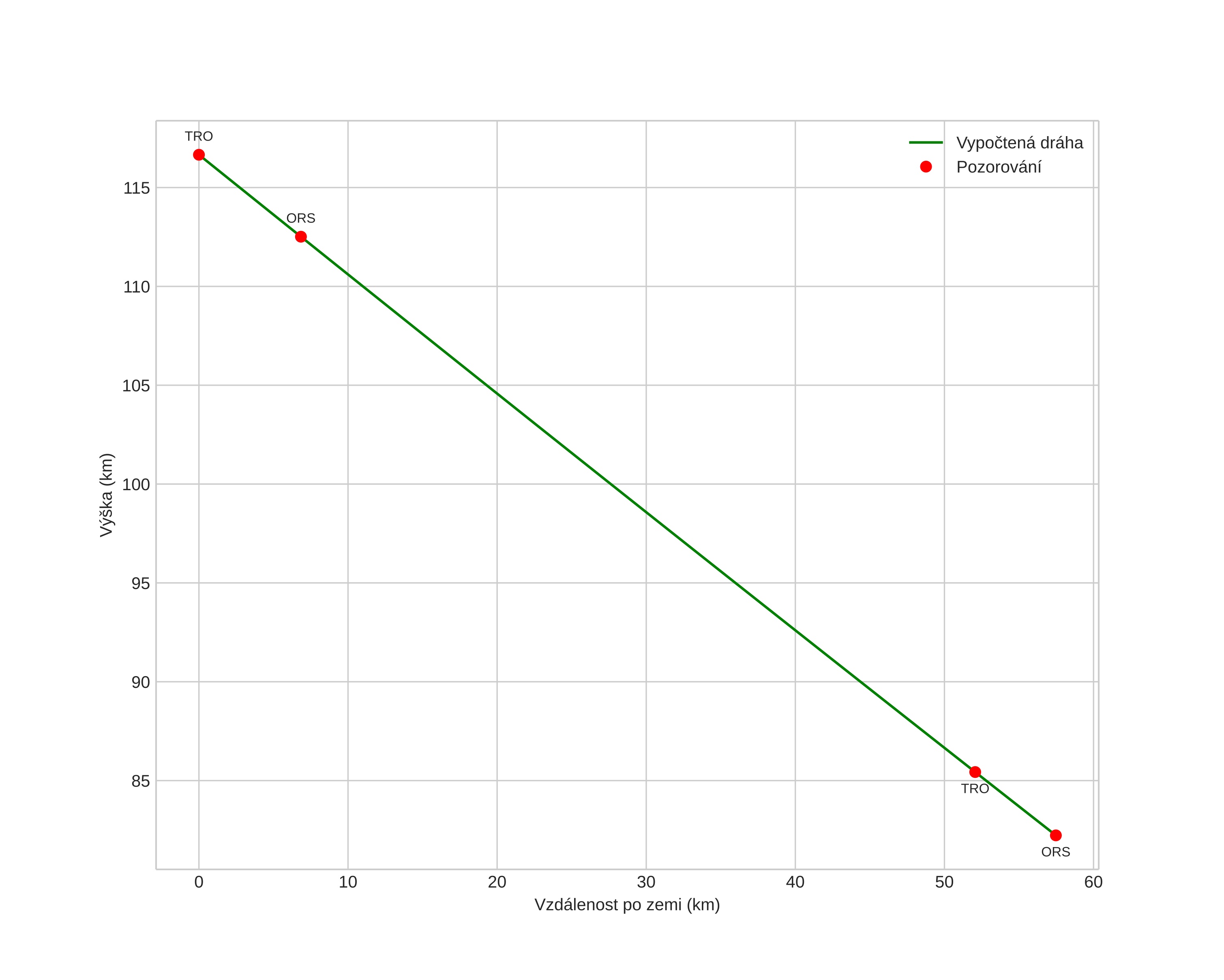
height profile
Atmosférická dráha meteoru:
Počáteční výška: 116,7 km
Konečná výška: 82,2 km
Počáteční poloha: 62,160N 11,463E
Konečná poloha: 62,595N 10,860E
Směr: 327,6°
Sklon: 31,0°
VstupnĂ­ rychlost: 67,4 km/s
Rektascenze radiantu: 14:28 (217,0°)
Deklinace radiantu: 6,4°
MeteorickĂ˝ roj: sporadickĂ˝
Elementy dráhy meteoroidu:
Vzdálenost v periheliu: 0,969 AU
Excentricita: 0,731
Sklon dráhy: 144,8°
Délka vzestupného uzlu: 306,8°
Argument perihelia: 195,7°
Střední anomálie: 358,3°
Epocha: 2026 JAN 27 03:28:13
orbit plot

NeinteraktivnĂ­ graf | InteraktivnĂ­ graf

position vs time
speed and acceleration

Orsta (ORS) cam1


gnomonic
Videa
• Gnomonická
• Gnomonická se souřadnicemi
• Původní
• Původní se souřadnicemi
Obrázky
• Gnomonická
• Gnomonická se souřadnicemi
• Původní
• Původní se souřadnicemi
Textové soubory
• Detekce
• Pozorování
• Souřadnice
• Protokol
Jasnost

Trondheim (TRO) cam2


gnomonic
Videa
• Gnomonická
• Gnomonická se souřadnicemi
• Původní
• Původní se souřadnicemi
Obrázky
• Gnomonická
• Gnomonická se souřadnicemi
• Původní
• Původní se souřadnicemi
Textové soubory
• Detekce
• Pozorování
• Souřadnice
• Protokol
Jasnost