🇳🇴 🇬🇧 🇩🇪 🇨🇿 🇫🇮

Meteor over Bjerkvik 2026-01-28 04:13:44 UTC

KML-fil  |  Interaktivt kart

Kartet viser peilingene for meteoren. De lysere linjene viser retningene fra observasjonsstedene for meteorens tilsynekomst, og de mørkere linjene viser hvor den sist kunne sees. Den blå pila viser meteorens synlige ferd.

static map
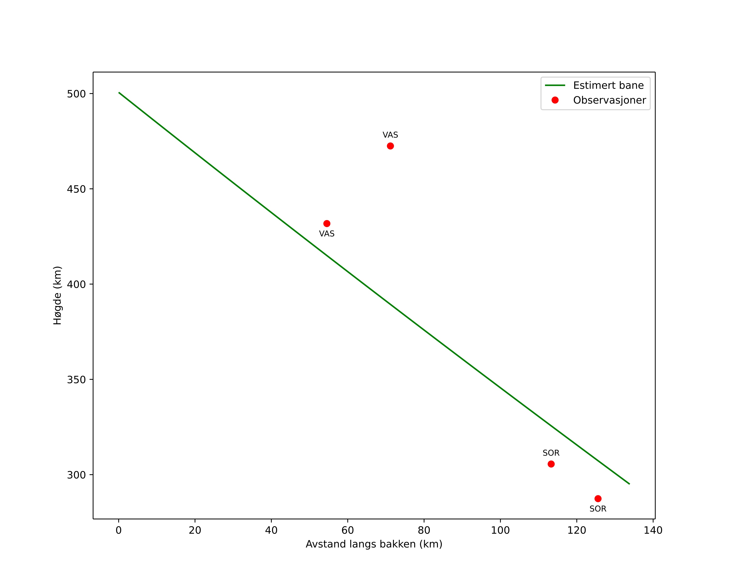
height profile
Meteorens atmosfæriske bane:
Starthøgde: 500,6 km
Slutthøgde: 295,0 km
Startposisjon: 67,629N 19,247E
Sluttposisjon: 68,651N 17,536E
Retning: 328,8°
Fallvinkel: 56,9°
Inngangshastighet: 70,9 km/s
Radiantens rektascensjon: 15:20 (230,2°)
Radiantens deklinasjon: 36,5°
Meteorsverm: sporadisk
Meteoroidens baneelement:
Perihelavstand: 0,982 AU
Eksentrisitet: 2,595
Inklinasjon: 102,6°
Knutelengde: 307,9°
Perihelargument: 185,1°
Midlere anomali: -5,4°
Epoke: 2026 JAN 28 04:13:44
orbit plot

Ikke-interaktivt plott | Interaktivt plott

position vs time
speed and acceleration

Sorreisa (SOR) cam7


gnomonic
Videoer
• Gnomonisk
• Gnomonisk med koordinater
• Original
• Original med koordinater
Bilder
• Gnomonisk
• Gnomonisk med koordinater
• Original
• Original med koordinater
Tekstfiler
• Deteksjon
• Observasjon
• Koordinater
• Logg
Lysstyrke

Vasteras (VAS) cam1


gnomonic
Videoer
• Gnomonisk
• Gnomonisk med koordinater
• Original
• Original med koordinater
Bilder
• Gnomonisk
• Gnomonisk med koordinater
• Original
• Original med koordinater
Tekstfiler
• Deteksjon
• Observasjon
• Koordinater
• Logg
Lysstyrke