🇳🇴 🇬🇧 🇩🇪 🇨🇿 🇫🇮

Meteor over Sveg 2026-01-28 21:18:55 UTC

KML-fil  |  Interaktivt kart

Kartet viser peilingene for meteoren. De lysere linjene viser retningene fra observasjonsstedene for meteorens tilsynekomst, og de mørkere linjene viser hvor den sist kunne sees. Den blå pila viser meteorens synlige ferd.

static map
height profile
wind profile
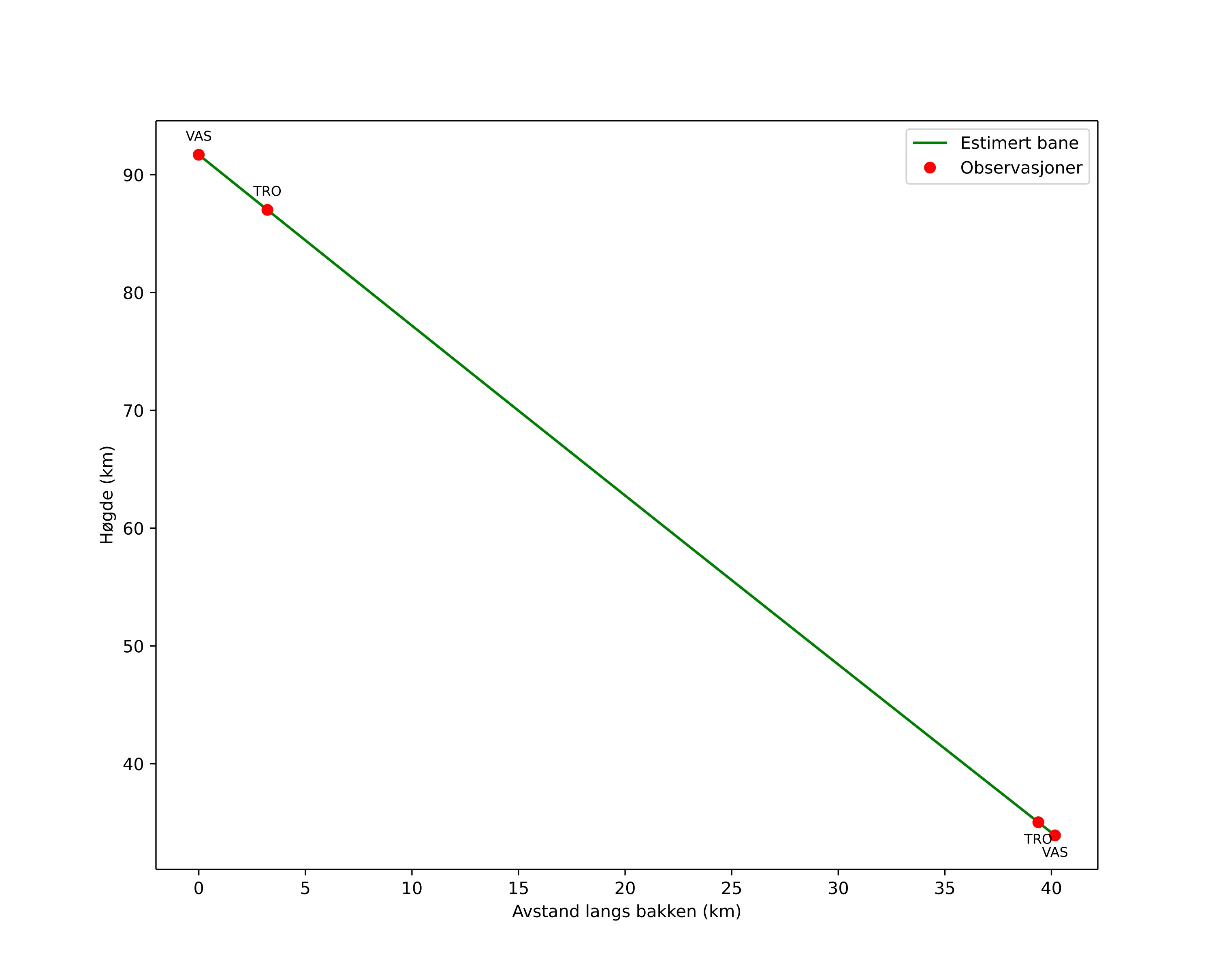
Meteorens atmosfæriske bane:
Starthøgde: 91,7 km
Slutthøgde: 33,9 km
Startposisjon: 62,168N 15,625E
Sluttposisjon: 62,219N 14,858E
Retning: 278,4°
Fallvinkel: 55,2°
Inngangshastighet: 26,0 km/s
Radiantens rektascensjon: 10:20 (155,0°)
Radiantens deklinasjon: 42,3°
Meteorsverm: sporadisk
Meteoroidens baneelement:
Perihelavstand: 0,544 AU
Eksentrisitet: 0,632
Inklinasjon: 23,9°
Knutelengde: 308,6°
Perihelargument: 278,9°
Midlere anomali: 332,7°
Epoke: 2026 JAN 28 21:18:55
orbit plot

Ikke-interaktivt plott | Interaktivt plott

position vs time
speed and acceleration

Trondheim (TRO) cam2


gnomonic
Videoer
• Gnomonisk
• Gnomonisk med koordinater
• Original
• Original med koordinater
Bilder
• Gnomonisk
• Gnomonisk med koordinater
• Original
• Original med koordinater
Tekstfiler
• Deteksjon
• Observasjon
• Koordinater
• Logg
Lysstyrke

Vasteras (VAS) cam1


gnomonic
Videoer
• Gnomonisk
• Gnomonisk med koordinater
• Original
• Original med koordinater
Bilder
• Gnomonisk
• Gnomonisk med koordinater
• Original
• Original med koordinater
Tekstfiler
• Deteksjon
• Observasjon
• Koordinater
• Logg
Lysstyrke