🇳🇴 🇬🇧 🇩🇪 🇨🇿 🇫🇮

Meteor over Kautokeino 2026-01-28 23:30:43 UTC

KML-fil  |  Interaktivt kart

Kartet viser peilingene for meteoren. De lysere linjene viser retningene fra observasjonsstedene for meteorens tilsynekomst, og de mørkere linjene viser hvor den sist kunne sees. Den blå pila viser meteorens synlige ferd.

static map
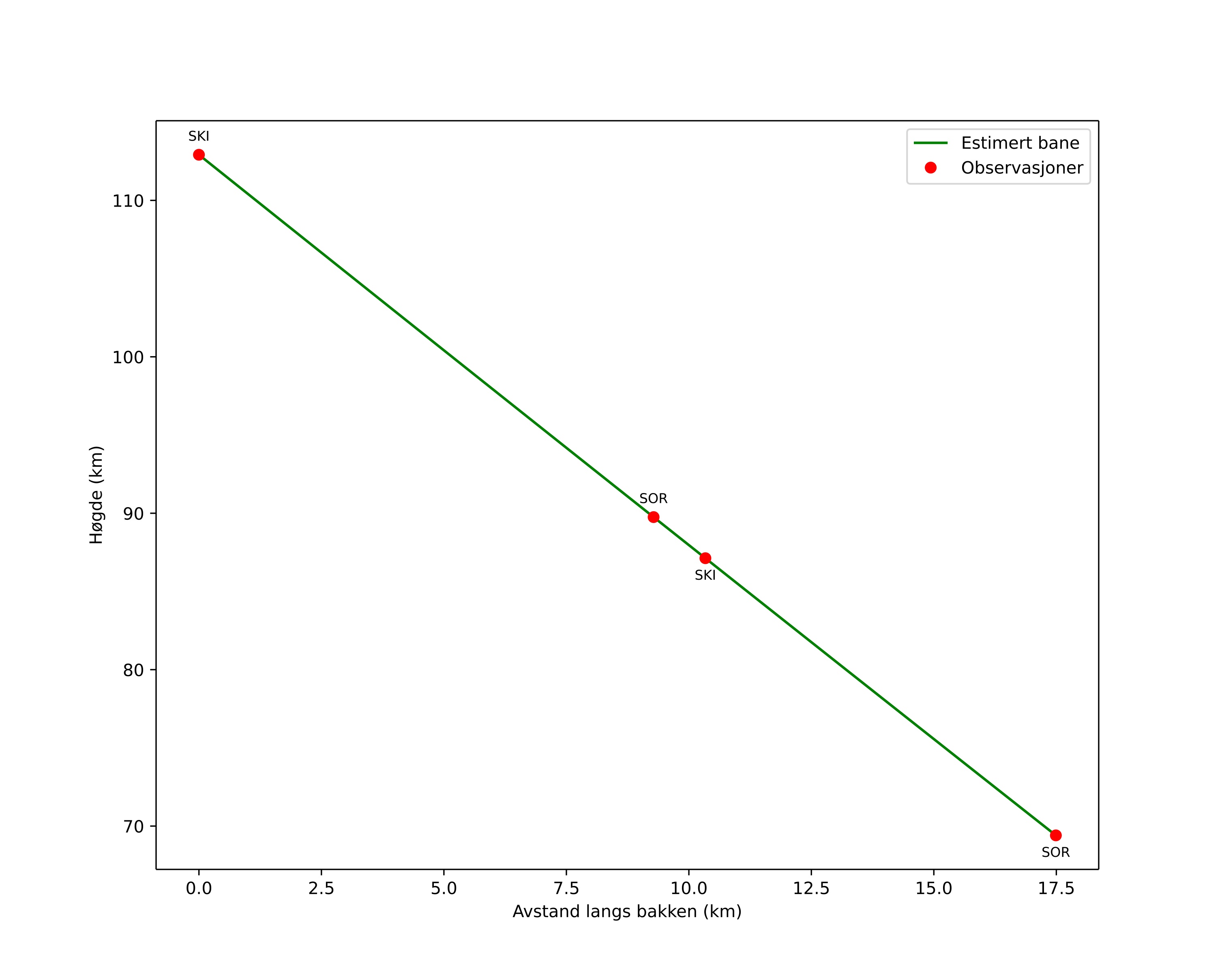
height profile
Meteorens atmosfæriske bane:
Starthøgde: 112,9 km
Slutthøgde: 69,4 km
Startposisjon: 69,114N 23,051E
Sluttposisjon: 69,127N 23,491E
Retning: 85,3°
Fallvinkel: 68,1°
Inngangshastighet: 26,1 km/s
Radiantens rektascensjon: 06:22 (95,6°)
Radiantens deklinasjon: 57,8°
Meteorsverm: sporadisk
Meteoroidens baneelement:
Perihelavstand: 0,885 AU
Eksentrisitet: 1,348
Inklinasjon: 17,9°
Knutelengde: 308,7°
Perihelargument: 214,6°
Midlere anomali: -5,0°
Epoke: 2026 JAN 28 23:30:43
orbit plot

Ikke-interaktivt plott | Interaktivt plott

position vs time
speed and acceleration

Skibotn (SKI) cam7


gnomonic
Videoer
• Gnomonisk
• Gnomonisk med koordinater
• Original
• Original med koordinater
Bilder
• Gnomonisk
• Gnomonisk med koordinater
• Original
• Original med koordinater
Tekstfiler
• Deteksjon
• Observasjon
• Koordinater
• Logg
Lysstyrke

Sorreisa (SOR) cam2


gnomonic
Videoer
• Gnomonisk
• Gnomonisk med koordinater
• Original
• Original med koordinater
Bilder
• Gnomonisk
• Gnomonisk med koordinater
• Original
• Original med koordinater
Tekstfiler
• Deteksjon
• Observasjon
• Koordinater
• Logg
Lysstyrke